爱气象,爱气象家园! 

气象家园

 找回密码
 立即注册

QQ登录

只需一步,快速开始

搜索
查看: 7193|回复: 7

准地转Rossby波垂向模态的本征函数的数值求解

[复制链接]
回帖奖励 50 金钱 回复本帖可获得 10 金钱奖励! 每人限 1 次
发表于 2024-12-10 21:10:14 | 显示全部楼层 |阅读模式

登录后查看更多精彩内容~

您需要 登录 才可以下载或查看,没有帐号?立即注册

x
本帖最后由 梨花香 于 2024-12-11 12:30 编辑

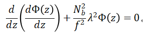
目前的工作需要数值求解准地转的本征方程,就是利用准地转位涡守恒方程(QGPV)代入波动解,水平和垂向可分,化简可以得到如下微分方程,是一个Sturm-Liouville本征值问题:
微信图片1.png f是科氏参数,Nb是背景层结,lambda是本征值,Phi是本征函数。
对于真实背景层结,该方程主要通过数值求解或者WKB近似的方法进行求解,但是我查了很多文献资料,似乎大家求解都是直接把背景层结N2直接从一阶导数中拿出来,变成这样:
微信图片2.png
Chelton et al., 1998 JPO等一些经典文献都是这样数值求解的,WKB近似也是用这个方程来近似(比如Vallis的书3.4.2)。这样似乎确实容易求解,容易收敛,但我不是很清楚这样处理会导致多大的误差,不知道有没有大佬能解答,或者有没有通过原始方程直接数值求解的相关代码分享,十分感谢!!!
Chelton的论文,主要是Appendix里的内容:
Chelton, D.B., DeSzoeke, R.A., Schlax, M.G., El Naggar, K. and Siwertz, N., 1998. Geographical variability of the first baroclinic Rossby radius of deformation. Journal of Physical Oceanography, 28(3), pp.433-460.

密码修改失败请联系微信:mofangbao
发表于 2024-12-12 16:16:52 | 显示全部楼层

回帖奖励 +10 金钱

帮楼主顶一下,我也遇到一样的问题
密码修改失败请联系微信:mofangbao
回复 支持 反对

使用道具 举报

 楼主| 发表于 2024-12-12 16:19:54 | 显示全部楼层
whxyztfa 发表于 2024-12-12 16:16
帮楼主顶一下,我也遇到一样的问题

谢谢你,可能家园里面搞物理海洋的比较少,也没人回复
密码修改失败请联系微信:mofangbao
回复 支持 反对

使用道具 举报

发表于 2024-12-15 04:40:37 | 显示全部楼层

回帖奖励 +10 金钱

你先选个最简单的有限差分格式,例如 forward Euler 方案,求数值解看看呢?
密码修改失败请联系微信:mofangbao
回复 支持 反对

使用道具 举报

 楼主| 发表于 2024-12-15 13:33:37 | 显示全部楼层
weiguorui 发表于 2024-12-15 04:40
你先选个最简单的有限差分格式,例如 forward Euler 方案,求数值解看看呢?

谢谢您的建议,我自己数值求解过,如果考虑了背景层结一阶导的话,很难收敛,算出来基本不稳定了,但是不考虑背景层结一阶导数的话,就很容易收敛,然后算出来结果看着也很合理,所以其实我感觉好像就应该这样做的。。。
密码修改失败请联系微信:mofangbao
回复 支持 反对

使用道具 举报

发表于 2024-12-24 16:59:33 | 显示全部楼层

回帖奖励 +10 金钱

帮楼主顶一下,我来学习的
密码修改失败请联系微信:mofangbao
回复 支持 反对

使用道具 举报

发表于 2025-1-5 18:34:03 | 显示全部楼层

回帖奖励 +10 金钱

帮顶,学习学习
密码修改失败请联系微信:mofangbao
回复 支持 反对

使用道具 举报

发表于 2025-4-9 16:49:17 | 显示全部楼层

回帖奖励 +10 金钱

可以自己手算一下,先算一下原来的微分方程,再忽略非线性项。如果背景层结Nb2为常数且水平变化可忽略,变形方程与原方程等价。如果背景层结Nb2存在显著垂直变化,误差会比较大。
密码修改失败请联系微信:mofangbao
回复 支持 反对

使用道具 举报

您需要登录后才可以回帖 登录 | 立即注册

本版积分规则

Copyright ©2011-2014 bbs.06climate.com All Rights Reserved.  Powered by Discuz! (京ICP-10201084)

本站信息均由会员发表,不代表气象家园立场,禁止在本站发表与国家法律相抵触言论

快速回复 返回顶部 返回列表