爱气象,爱气象家园! 

气象家园

 找回密码
 立即注册

QQ登录

只需一步,快速开始

搜索
查看: 1561|回复: 0

[程序设计] cmip6降水日值数据edcdf偏差校正

[复制链接]
发表于 2023-9-6 15:41:37 | 显示全部楼层 |阅读模式

登录后查看更多精彩内容~

您需要 登录 才可以下载或查看,没有帐号?立即注册

x
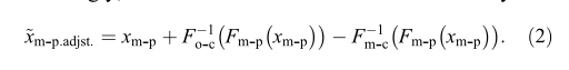
最近在做cmip6数据的偏差校正,在这卡了好长时间了,想请问一下大佬们,原公式里把模拟值的累积分布函数带入到观测值逆累积分布函数这一步应该怎么实现啊,真的是想的头秃了。附上函数表达式,就是式中Fo-c -1的代码实现。

edcdf方法的函数表达式

edcdf方法的函数表达式
密码修改失败请联系微信:mofangbao
您需要登录后才可以回帖 登录 | 立即注册

本版积分规则

Copyright ©2011-2014 bbs.06climate.com All Rights Reserved.  Powered by Discuz! (京ICP-10201084)

本站信息均由会员发表,不代表气象家园立场,禁止在本站发表与国家法律相抵触言论

快速回复 返回顶部 返回列表