爱气象,爱气象家园! 

气象家园

 找回密码
 立即注册

QQ登录

只需一步,快速开始

搜索
查看: 10581|回复: 1

[求助] 堆叠柱状图上值为0 的数值标签如何才能不显示

[复制链接]
发表于 2021-9-2 13:24:20 | 显示全部楼层 |阅读模式

登录后查看更多精彩内容~

您需要 登录 才可以下载或查看,没有帐号?立即注册

x
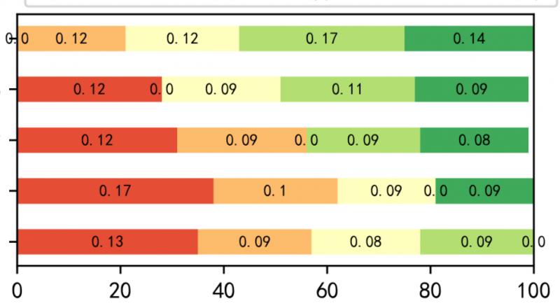
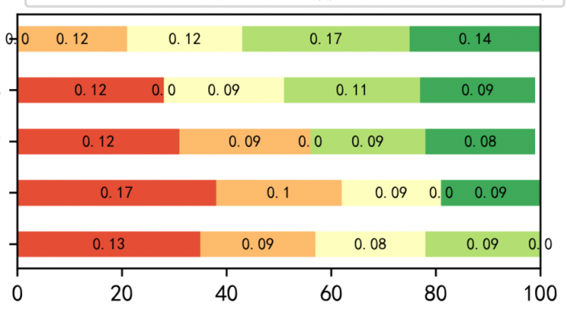
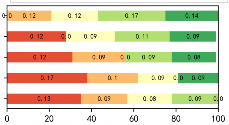
微信图片_20210902132417.png
参照matplotlib网站上的例子画的堆叠柱状图,图中有为0.0的数值,请问大家怎么能让0.0不显示?
密码修改失败请联系微信:mofangbao
发表于 2021-9-3 08:20:23 | 显示全部楼层
本帖最后由 edwardli 于 2021-9-3 08:54 编辑

1、将0.0替换为np.nan,传递labels关键字参数到bar_label中

2、如果还有问题,可以把数据转换为字符串,0.0替换为空字符串,作为labels参数传递
ls = np.array(["%.1f" % w for w in data.reshape(data.size)])
ls = ls.reshape(data.shape)
ls[ls=='0.0']=' '
ax.bar_label(rects, labels=ls[:,i],label_type='center', color='b')

data.PNG

Figure_1.png
密码修改失败请联系微信:mofangbao
回复 支持 反对

使用道具 举报

您需要登录后才可以回帖 登录 | 立即注册

本版积分规则

Copyright ©2011-2014 bbs.06climate.com All Rights Reserved.  Powered by Discuz! (京ICP-10201084)

本站信息均由会员发表,不代表气象家园立场,禁止在本站发表与国家法律相抵触言论

快速回复 返回顶部 返回列表