爱气象,爱气象家园! 

气象家园

 找回密码
 立即注册

QQ登录

只需一步,快速开始

搜索
查看: 9246|回复: 5

[源程序] matlab程序

[复制链接]
回帖奖励 4 金钱 回复本帖可获得 2 金钱奖励! 每人限 1 次
发表于 2021-10-14 08:18:27 | 显示全部楼层 |阅读模式

登录后查看更多精彩内容~

您需要 登录 才可以下载或查看,没有帐号?立即注册

x
本帖最后由 守护最好的深深 于 2021-10-14 17:15 编辑

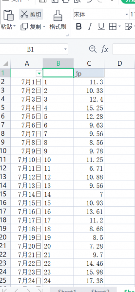
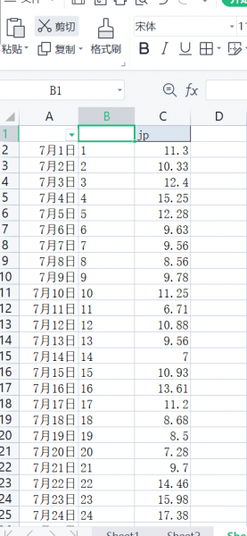
大佬们,我想输出连续小于0的第一天数据,为什么算的结果一直是错的(但运行没有报错,只是结果出错,本来结果应该是103,但出来的结果为285),是什么原因呢?有一组数据,需要判断连续5天小于0,在满足其基础上去判断第6天到第10天的数是否大于0,如果是,则输出第一天的数据或它对应的日期。
clear;clc
A=xlsread('距平.xlsx','sheet3','B1:C18435');
%读取数据
x=A(:,1);%时间序列
y=A(:,2);%径流数据列
for i =0:47
    for t=1+i*365:365+i*365
        if( ~isempty(find(y(t:t+4)<=0)>=5)&&~isempty(find(y(t+5:t+9)>=0)<=5)) %判断连续5个数是否小于0且后面5个人是否大于0
            q=x(t);
             p(i+1)=q;
        end
    end
end
p=p';


QQ图片20211014171235.png
QQ图片20211014171359.png
密码修改失败请联系微信:mofangbao
发表于 2021-10-14 10:35:16 | 显示全部楼层

回帖奖励 +2 金钱

贴上程序出错的说明图片
密码修改失败请联系微信:mofangbao
回复 支持 反对

使用道具 举报

 楼主| 发表于 2021-10-14 12:59:43 | 显示全部楼层
Ifare 发表于 2021-10-14 10:35
贴上程序出错的说明图片

运行是可以的,但是结果是错的
密码修改失败请联系微信:mofangbao
回复 支持 反对

使用道具 举报

 成长值: 32430
发表于 2021-10-14 14:48:11 | 显示全部楼层

回帖奖励 +2 金钱

本来想帮忙的,但是楼主的语言表述和理解能力让我……
1.重新看一下帖子题目。我读出来小黄人的感觉了……
2.主贴好好断个句,能读懂真不容易……
3.程序结果截个图,数据截个图,让大家知道怎么回事……
密码修改失败请联系微信:mofangbao
回复 支持 反对

使用道具 举报

 楼主| 发表于 2021-10-14 17:06:55 | 显示全部楼层
二爷名声在外 发表于 2021-10-14 14:48
本来想帮忙的,但是楼主的语言表述和理解能力让我……
1.重新看一下帖子题目。我读出来小黄人的感觉了…… ...

好的,谢谢指出,以后我会注意语句问题并及时检查的,现在问题解决了,麻烦了
密码修改失败请联系微信:mofangbao
回复 支持 反对

使用道具 举报

 楼主| 发表于 2021-10-14 17:10:47 | 显示全部楼层
守护最好的深深 发表于 2021-10-14 12:59
运行是可以的,但是结果是错的

现在问题解决了,麻烦了,谢谢
密码修改失败请联系微信:mofangbao
回复 支持 反对

使用道具 举报

您需要登录后才可以回帖 登录 | 立即注册

本版积分规则

Copyright ©2011-2014 bbs.06climate.com All Rights Reserved.  Powered by Discuz! (京ICP-10201084)

本站信息均由会员发表,不代表气象家园立场,禁止在本站发表与国家法律相抵触言论

快速回复 返回顶部 返回列表