爱气象,爱气象家园! 

气象家园

 找回密码
 立即注册

QQ登录

只需一步,快速开始

搜索
查看: 3024|回复: 0

求问雷达气象方程各项的单位是什么

[复制链接]
发表于 2022-4-6 22:12:57 | 显示全部楼层 |阅读模式
10金钱
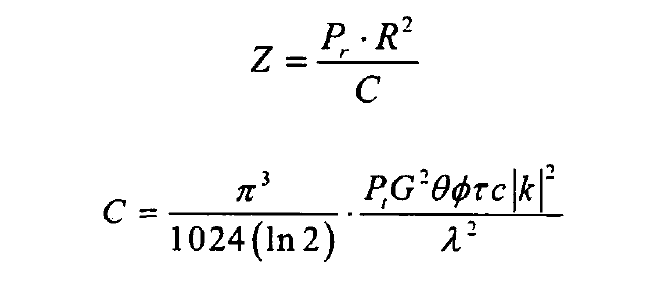
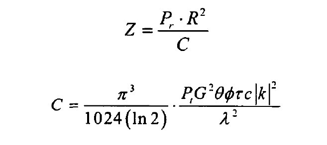
我想通过云雷达功率谱数据计算雷达反射率因子,看了雷达气象方程,但是不知道方程以及雷达常数中的各个量应该取什么单位,求大神解答啊。
无标题.png

密码修改失败请联系微信:mofangbao
您需要登录后才可以回帖 登录 | 立即注册

本版积分规则

Copyright ©2011-2014 bbs.06climate.com All Rights Reserved.  Powered by Discuz! (京ICP-10201084)

本站信息均由会员发表,不代表气象家园立场,禁止在本站发表与国家法律相抵触言论

快速回复 返回顶部 返回列表