爱气象,爱气象家园! 

气象家园

 找回密码
 立即注册

QQ登录

只需一步,快速开始

搜索
查看: 9072|回复: 1

[程序设计] 请问风切变的计算应该用什么差分方法?小白求助

[复制链接]
发表于 2022-4-19 11:15:31 | 显示全部楼层 |阅读模式

登录后查看更多精彩内容~

您需要 登录 才可以下载或查看,没有帐号?立即注册

x
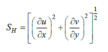
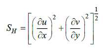
最近在看飞机颠簸预测指数方面的研究,不过这个不重要,里面的诊断指数中需要用到垂直风切变、水平风切变等参数的计算,垂直风切变是UV风分别在垂直方向上的变化的合成,水平风切变是U风在东西向和V风在南北向变化的合成,表达式很简单。现在我是用的uc文件数据,用matlab来计算,但不知道该用哪种差分方法计算。我在网上看了些资料有的说双向中央差分,前向差分,双向差分之类的,我都试了下但计算结果相差的不小,所以想问下大家在计算这些参数的时候一般用什么差分方法呢,比较小白...

垂直风切变

垂直风切变
h.png
密码修改失败请联系微信:mofangbao
发表于 2022-9-12 10:34:44 | 显示全部楼层
楼主你解决了吗?可以发一下m文件参考一下
密码修改失败请联系微信:mofangbao
回复 支持 反对

使用道具 举报

您需要登录后才可以回帖 登录 | 立即注册

本版积分规则

Copyright ©2011-2014 bbs.06climate.com All Rights Reserved.  Powered by Discuz! (京ICP-10201084)

本站信息均由会员发表,不代表气象家园立场,禁止在本站发表与国家法律相抵触言论

快速回复 返回顶部 返回列表