爱气象,爱气象家园! 

气象家园

 找回密码
 立即注册

QQ登录

只需一步,快速开始

搜索
查看: 8717|回复: 6

[作图] WRF格点计算散度和涡度

[复制链接]
发表于 2022-7-15 16:00:36 | 显示全部楼层 |阅读模式

登录后查看更多精彩内容~

您需要 登录 才可以下载或查看,没有帐号?立即注册

x
本帖最后由 happymgj 于 2022-7-15 16:05 编辑

自己突发奇想,尝试求取了wrfout数据的涡度散度,也请大家指点指正一下。
wrfout数据在水平方向上是等距格点,而非等经纬度格点。这种等距格点也是“正交曲线坐标系”。
根据场论,正交曲线坐标系计算散度、涡度时,应当考虑拉梅系数(Lamé coefficient)。
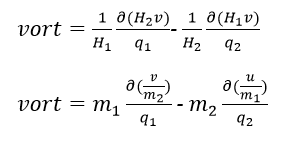
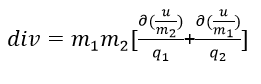
首先看正交曲线坐标系的散度:
1.png
其中,H1,H2为拉梅系数。
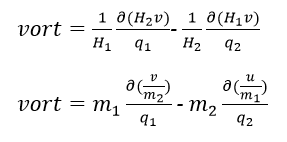
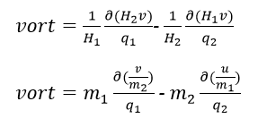
而拉梅系数H与地图放大系数m互为倒数。
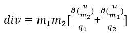
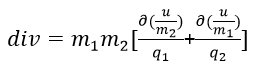
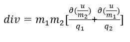
则也可以写为
2.png
其中,m1和m2分别为“x”与“y”方向的地图放大系数(拉梅系数倒数)。
注意“x”和“y”,并非是局地直角坐标系的经向和纬向,而是正交曲线坐标系下的坐标方向。
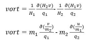
同样,涡度也有如下写法:

3.png


由此,编写出相应求涡度、散度程序的代码
    u00 = wrf_user_getvar(f,"ua",0)      ;mass格点的u速度,3d变量
    v00 = wrf_user_getvar(f,"va",0)       ;mass格点的v速度,3d变量

    dx=30000.                    
    dy=30000.


    m_x0=f->MAPFAC_MX(0,:,:)       ;mass格点的“x”方向的地图放大系数,但是其为2d变量
    m_y0=f->MAPFAC_MY(0,:,:)       ;mass格点的“y”方向的地图放大系数,但是其为2d变量

    m_x=conform(u00, m_x0, (/1,2/))  ;把“x”方向地图放大系数维度变成与u00 一致
    m_y=conform(u00, m_y0, (/1,2/))  ;把“y”方向地图放大系数维度变成与u00 一致

   div_mx=center_finite_diff_n(u00/m_y, dx, False, 1, 2)  ;求取"du/dx”
   div_my=center_finite_diff_n(v00/m_x, dy, False, 1, 1)  ;求取"du/dy”
   div_m=m_x*m_y*(div_mx+div_my)*1.e5

   vort_mx=m_x*center_finite_diff_n(v00/m_y, dx, False, 1, 2);求取"dv/dx”
   vort_my=m_y*center_finite_diff_n(u00/m_x, dy, False, 1, 1);求取"dv/dy”
   vort_m=(m_y*vort_mx-m_x*vort_my)*1.e5
变量下标带了m,就是考虑了“x”和“y”方向的地图放大因子(拉梅系数的倒数)。

对此也编写了程序进行对比
vort_DUIBI.png
右图为:用上述公式计算的相对涡度
左图为:用rcm2rgrid插值成等经纬度格点计算的相对涡度

受rcm2rgrid插值经度及绘图前数据平滑影响,其误差应该是可以接受的。
密码修改失败请联系微信:mofangbao
发表于 2022-7-15 22:08:12 | 显示全部楼层
本帖最后由 freekiller 于 2022-7-15 22:10 编辑

{:eb502:}{:eb502:}{:eb502:},之前ncl论坛有个fortran程序,用ncl调用计算涡度,散度,考虑了地图放大因子
密码修改失败请联系微信:mofangbao
回复 支持 反对

使用道具 举报

发表于 2022-10-28 22:35:37 | 显示全部楼层
哇,学习了学习了,感谢楼主!
密码修改失败请联系微信:mofangbao
回复 支持 反对

使用道具 举报

发表于 2023-8-12 19:48:35 | 显示全部楼层
太棒了,感谢楼主提供的计算方法,很有用!
密码修改失败请联系微信:mofangbao
回复 支持 反对

使用道具 举报

发表于 2023-8-23 21:44:12 | 显示全部楼层
提示: 作者被禁止或删除 内容自动屏蔽
密码修改失败请联系微信:mofangbao
回复 支持 反对

使用道具 举报

发表于 2024-3-27 21:56:17 | 显示全部楼层
我看了wrf公式中绝对涡度的计算,还考虑了质点格点的地图放大系数和科式力,不知道在相对涡度中是否可以忽略?
密码修改失败请联系微信:mofangbao
回复 支持 反对

使用道具 举报

发表于 2025-6-13 11:01:37 | 显示全部楼层
感谢!!{:eb302:}{:eb302:}
密码修改失败请联系微信:mofangbao
回复 支持 反对

使用道具 举报

您需要登录后才可以回帖 登录 | 立即注册

本版积分规则

Copyright ©2011-2014 bbs.06climate.com All Rights Reserved.  Powered by Discuz! (京ICP-10201084)

本站信息均由会员发表,不代表气象家园立场,禁止在本站发表与国家法律相抵触言论

快速回复 返回顶部 返回列表