爱气象,爱气象家园! 

气象家园

 找回密码
 立即注册

QQ登录

只需一步,快速开始

搜索
查看: 4248|回复: 2

cdo插值问题,cdo插值cmip5经度出现不均匀

[复制链接]
发表于 2022-8-17 19:09:05 | 显示全部楼层 |阅读模式
20金钱
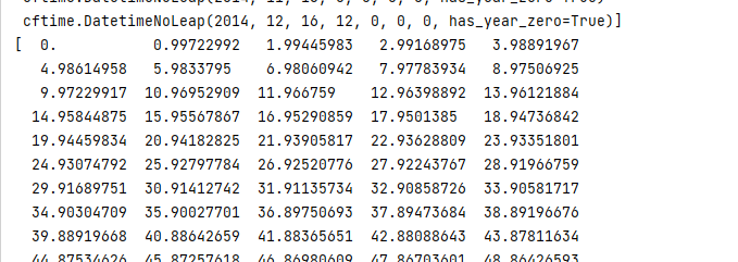
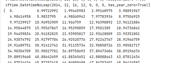
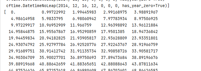
cdo插值都是r361*181,cmip5和cmip6出现非正常0-359°,而其他数据插值正常。这怎么解决呢
2.png
QQ图片20220817190829.png

最佳答案

查看完整内容

感觉是跟你的数据格点数有关,后者被不均匀划分了,可以试试r361*180 或者r360*180 再看看
密码修改失败请联系微信:mofangbao
发表于 2022-8-17 19:09:06 | 显示全部楼层
感觉是跟你的数据格点数有关,后者被不均匀划分了,可以试试r361*180 或者r360*180 再看看
密码修改失败请联系微信:mofangbao
回复

使用道具 举报

 楼主| 发表于 2022-8-18 16:38:52 | 显示全部楼层
扫眉才子 发表于 2022-8-17 19:09
感觉是跟你的数据格点数有关,后者被不均匀划分了,可以试试r361*180 或者r360*180 再看看

谢谢大佬已经解决了确实是不均匀划分的问题!
密码修改失败请联系微信:mofangbao
回复

使用道具 举报

您需要登录后才可以回帖 登录 | 立即注册

本版积分规则

Copyright ©2011-2014 bbs.06climate.com All Rights Reserved.  Powered by Discuz! (京ICP-10201084)

本站信息均由会员发表,不代表气象家园立场,禁止在本站发表与国家法律相抵触言论

快速回复 返回顶部 返回列表