爱气象,爱气象家园! 

气象家园

 找回密码
 立即注册

QQ登录

只需一步,快速开始

搜索
查看: 11890|回复: 2

WRF参数方案YSU中关于地形修正系数

[复制链接]
发表于 2022-9-29 09:43:59 | 显示全部楼层 |阅读模式

登录后查看更多精彩内容~

您需要 登录 才可以下载或查看,没有帐号?立即注册

x
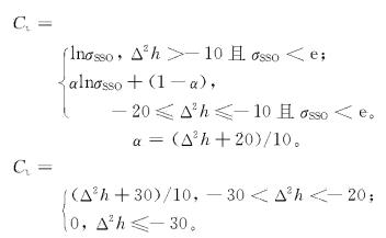
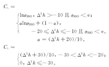
YSU方案中开启topo_wind=1会进行地形修正,其中定义了地形修正系数的表达式,如下图。
现在我想对这个表达式根据模拟地形修正一下,请问可以在WRF哪里可以找到这部分的定义

地形修正系数

地形修正系数
密码修改失败请联系微信:mofangbao
发表于 2022-9-30 06:00:34 | 显示全部楼层
关于这个选项我记得好像在run_physics.conf文件里
密码修改失败请联系微信:mofangbao
回复 支持 反对

使用道具 举报

 楼主| 发表于 2022-10-2 21:51:12 | 显示全部楼层
tbag 发表于 2022-9-30 06:00
关于这个选项我记得好像在run_physics.conf文件里

抱歉我在WRF里没找到这个文件,再请问下这个文件在哪个文件夹下
密码修改失败请联系微信:mofangbao
回复 支持 反对

使用道具 举报

您需要登录后才可以回帖 登录 | 立即注册

本版积分规则

Copyright ©2011-2014 bbs.06climate.com All Rights Reserved.  Powered by Discuz! (京ICP-10201084)

本站信息均由会员发表,不代表气象家园立场,禁止在本站发表与国家法律相抵触言论

快速回复 返回顶部 返回列表