爱气象,爱气象家园! 

气象家园

 找回密码
 立即注册

QQ登录

只需一步,快速开始

搜索
查看: 7831|回复: 3

wrfout如何提取云光学厚度(深度)COD呢?

[复制链接]
发表于 2022-11-10 10:36:22 | 显示全部楼层 |阅读模式

登录后查看更多精彩内容~

您需要 登录 才可以下载或查看,没有帐号?立即注册

x
wrfout里面只有两个变量涉及到云光学厚度,一个是冰一个是水,范围都是0-1之间。
图片1.png
但是我看别的文献里COD都有0-8和0-20的范围。不知道他们是怎么算的,是要把所有层高的厚度全部加起来吗?
图片2.png 图片3.png
有说法是用经验公式,细看下去说是只适用于卫星的数据,没有提模型。不知道有没有懂的大神指导一下?

图片4.png
密码修改失败请联系微信:mofangbao
发表于 2024-1-4 16:28:15 | 显示全部楼层
请问楼主弄明白了吗?
密码修改失败请联系微信:mofangbao
回复 支持 反对

使用道具 举报

 楼主| 发表于 2024-1-29 13:16:02 | 显示全部楼层
旋风TW教主 发表于 2024-1-4 16:28
请问楼主弄明白了吗?

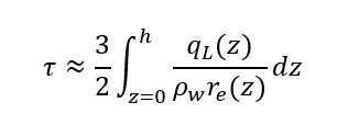
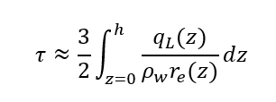
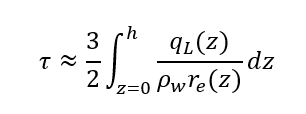
弄明白了。代码有点复杂,公式是这个。h是从0到你要提取的层高,对它积分。qL是液态水含量,pw是水密度,re是云有效半径。 微信图片_20240129131213.png

密码修改失败请联系微信:mofangbao
回复 支持 反对

使用道具 举报

发表于 2024-5-31 19:19:12 | 显示全部楼层
请问 这里的图出自哪篇文献啊?可否提供一个代码示例?
密码修改失败请联系微信:mofangbao
回复 支持 反对

使用道具 举报

您需要登录后才可以回帖 登录 | 立即注册

本版积分规则

Copyright ©2011-2014 bbs.06climate.com All Rights Reserved.  Powered by Discuz! (京ICP-10201084)

本站信息均由会员发表,不代表气象家园立场,禁止在本站发表与国家法律相抵触言论

快速回复 返回顶部 返回列表