爱气象,爱气象家园! 

气象家园

 找回密码
 立即注册

QQ登录

只需一步,快速开始

搜索
查看: 15444|回复: 99

[经验总结] Python【探空订正】效果

  [复制链接]
发表于 2023-6-16 00:48:30 | 显示全部楼层 |阅读模式

登录后查看更多精彩内容~

您需要 登录 才可以下载或查看,没有帐号?立即注册

x
本帖最后由 付亚男 于 2024-1-5 15:44 编辑

       MICAPS的交互探空有一个很实用的效果——修正抬升点。对于早晨08时的探空,可以通过将地面温度和露点加以订正,考察午后的对流潜势。另外在近地面是稳定层结时,通过将抬升点提高到稳定层结以上,可以考察高架对流发生的可能性。
       MetPy提供了一个功能丰富的绘制探空图的函数:Advanced Sounding — MetPy 1.5 (unidata.github.io)
其本质就是在图上绘制各种线条(温度廓线、露点廓线、状态曲线等),各种点(LCL、LFC、EL)以及填色区(CAPE和CIN)。那么实现MICAPS的交互探空功能,其实就是在原图上取一个新的抬升点、计算一条新的状态曲线以及LCL和LFC,填上新的CAPE和CIN颜色。
       了解了原理,就很容易实现了。

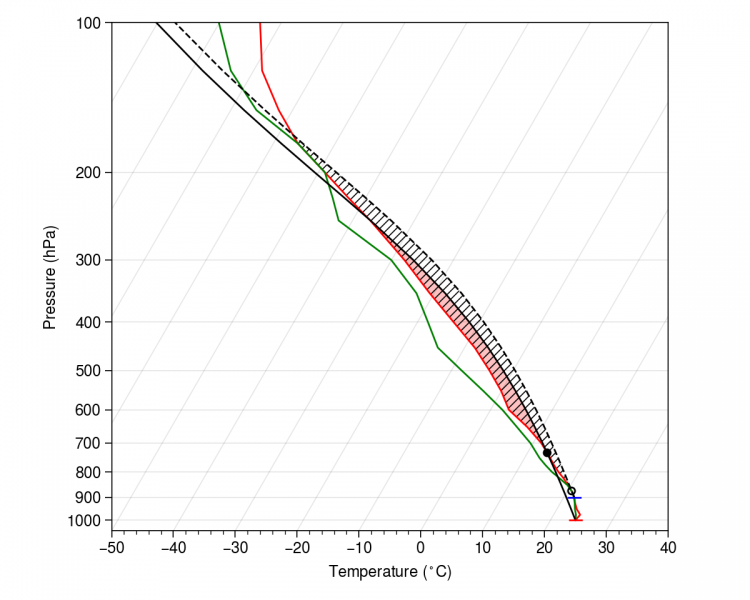
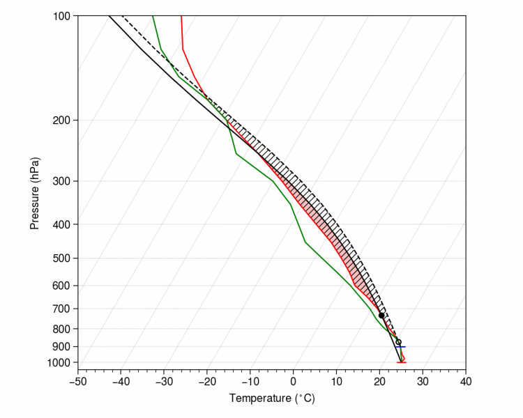
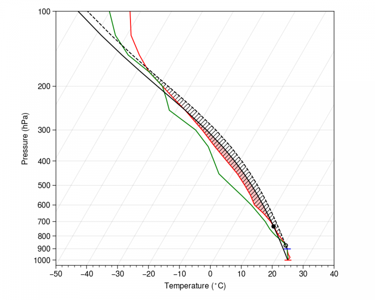
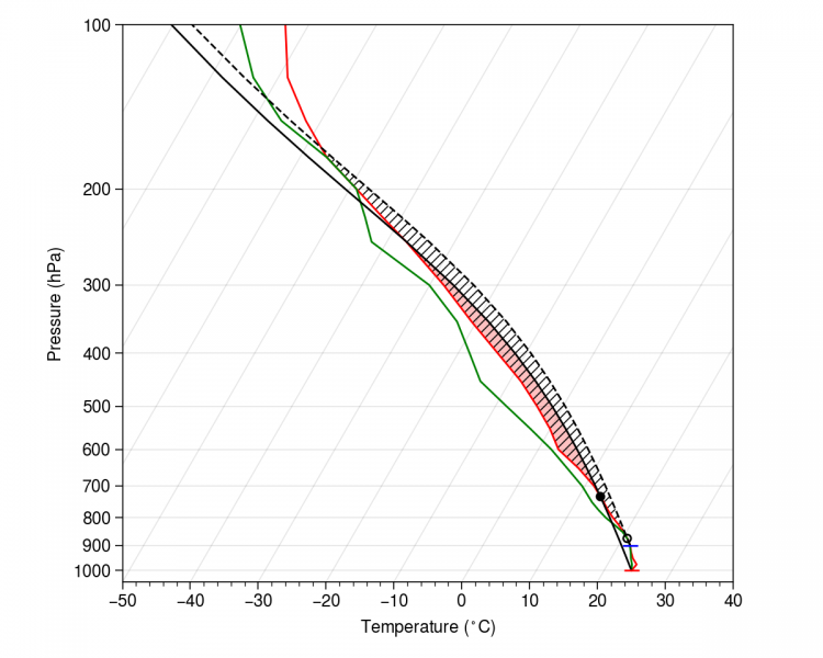
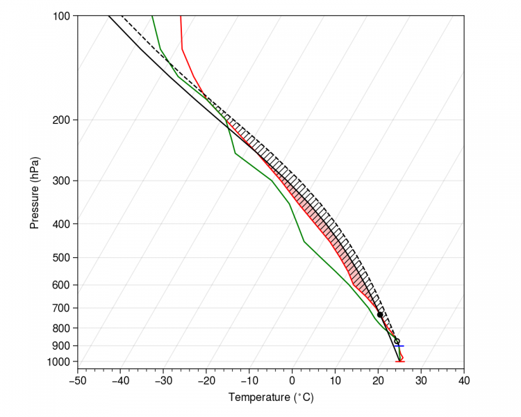
Figure 2023-06-16 003750.png

       上面这张图就是绘制的效果,红线和绿线分别是温度廓线和露点廓线。
       黑色实线是基于1000 hPa抬升的状态曲线,对应的LFC高度以黑色实心点标注,CAPE以半透明红色进行填色。
       黑色虚线是基于900 hPa抬升的状态曲线,对应的LFC高度以黑色空心点标注,CAPE为斜线填充区域。
       为了方便考察LFC距离抬升点的位置,把抬升点以短横线标注出来,红色基于1000 hPa,蓝色基于900 hPa。


       这张探空取自一个比较典型的高架对流的探空:最不稳定层在900-875 hPa,这一层次CAPE大约是1200 J/kg, 地面约为500 J/kg;CIN在这一层次为0;从这一层次抬升,只需要抬升很短的距离,就可以到达LFC,从而出现自由对流,而从地面抬升,需要抬升约3000 m才能出现自由对流;当然之所以判断对流是高架的,还有一点在这里没有展示,就是地面图中这个位置附近没有明显的辐合特征。


       代码不复杂,按照上面的思路,很容易实现。设置回复可见以便更多人可以看到。测试数据是自己写的npy,一并给出。
游客,如果您要查看本帖隐藏内容请回复

ForTlnP.npy (1016 Bytes, 下载次数: 81)
密码修改失败请联系微信:mofangbao
发表于 2023-6-16 08:39:54 | 显示全部楼层
好东西,学习了
密码修改失败请联系微信:mofangbao
回复 支持 反对

使用道具 举报

发表于 2023-6-16 09:51:34 | 显示全部楼层
{:eb511:}
密码修改失败请联系微信:mofangbao
回复

使用道具 举报

发表于 2023-6-16 10:11:28 | 显示全部楼层
感谢分享!
密码修改失败请联系微信:mofangbao
回复

使用道具 举报

发表于 2023-6-16 11:05:22 | 显示全部楼层
设置回复可见以便更多人可以看到
密码修改失败请联系微信:mofangbao
回复 支持 反对

使用道具 举报

发表于 2023-6-16 11:23:59 | 显示全部楼层
谢谢,学习了
密码修改失败请联系微信:mofangbao
回复 支持 反对

使用道具 举报

发表于 2023-6-16 13:22:50 | 显示全部楼层
{:eb348:}
密码修改失败请联系微信:mofangbao
回复

使用道具 举报

发表于 2023-6-16 15:48:44 | 显示全部楼层
{:5_213:}
密码修改失败请联系微信:mofangbao
回复

使用道具 举报

发表于 2023-6-16 21:09:54 | 显示全部楼层
胖爷威武~
密码修改失败请联系微信:mofangbao
回复

使用道具 举报

发表于 2023-6-17 09:23:45 | 显示全部楼层
考察午后的对流潜势?有相关的文章么
密码修改失败请联系微信:mofangbao
回复 支持 反对

使用道具 举报

您需要登录后才可以回帖 登录 | 立即注册

本版积分规则

Copyright ©2011-2014 bbs.06climate.com All Rights Reserved.  Powered by Discuz! (京ICP-10201084)

本站信息均由会员发表,不代表气象家园立场,禁止在本站发表与国家法律相抵触言论

快速回复 返回顶部 返回列表