爱气象,爱气象家园! 

气象家园

 找回密码
 立即注册

QQ登录

只需一步,快速开始

搜索
查看: 1717|回复: 1

[求助] 如何求解omega方程

[复制链接]
发表于 2023-6-28 16:21:27 | 显示全部楼层 |阅读模式

登录后查看更多精彩内容~

您需要 登录 才可以下载或查看,没有帐号?立即注册

x
本帖最后由 Jareau 于 2023-6-28 16:23 编辑


                               
登录/注册后可看大图
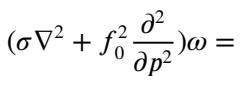
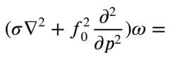
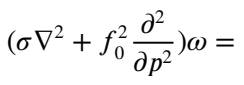
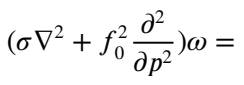
等号右边是一个已知的三维数组
求教

Snipaste_2023-06-28_16-22-32.jpg
密码修改失败请联系微信:mofangbao
发表于 2025-10-18 13:08:29 | 显示全部楼层
这个得线性化吧,线性化之后就是一个椭圆方程
密码修改失败请联系微信:mofangbao
回复 支持 反对

使用道具 举报

您需要登录后才可以回帖 登录 | 立即注册

本版积分规则

Copyright ©2011-2014 bbs.06climate.com All Rights Reserved.  Powered by Discuz! (京ICP-10201084)

本站信息均由会员发表,不代表气象家园立场,禁止在本站发表与国家法律相抵触言论

快速回复 返回顶部 返回列表