爱气象,爱气象家园! 

气象家园

 找回密码
 立即注册

QQ登录

只需一步,快速开始

搜索
查看: 1951|回复: 5

从贝叶斯(bayes)到局地集合变换卡尔曼滤波(LETKF)~C2-模式的线性与非线性

[复制链接]
发表于 2023-8-26 00:00:51 | 显示全部楼层 |阅读模式

登录后查看更多精彩内容~

您需要 登录 才可以下载或查看,没有帐号?立即注册

x
C2:模式的线性与非线性

--前言

   回顾上一节,对模式和同化的意义进行了简短的讨论.

   在大气科学背景下,若要做预报(forecast),需要首先构建含有时间项的(偏)微分方程,也即是纳维斯托克斯方程(Navier-Stokes equations),其次,是需要初(边)值.

   模式,也即是上述方程涉及到的问题.

   是基于物理的,描述物理量随时空演变规律的等式,相较于人工智能而言的优势,在于其物理意义的充分可解释性,气象海洋等学科发展模式的初衷便是为了预测未来物理量的变化情况.

   其局限性,或者说存在的问题,一个是物理框架本身可能不完善,另一个是由理论模型带入实践后引入的数值解相较于解析解的误差,后者在简易理论模型中不会存在.

   对于上一章中的某一个说法,lz回顾时发现存在问题,即"模式中一定有对时间求导数",因为模式是描述物理量随时空演变规律的方程式,也即是说,就算仅仅是描述随空间的变化,也可以被称为模式,这便是动力气象中的定常一说.

   同化,也即是上述初值涉及到的问题.

   是为了提供给模式一个更好的初始条件而存在的,是由预报场(forescast state)/背景场(background state)/先验估计(prior estimate)向分析场(analysis state)/后验估计(posterior estimate)进行数值更替的过程,该过程与模式中对物理量进行时间积分不同,仅仅是对某一个时刻的物理量,基于一定的条件对其进行修正.

   那么,到底基于怎样的条件,这个"更好"的评判标准是什么,将在同化理论中进行系统阐述(其实如果对先验后验估计有一定的了解,想必可以猜出一二)

   本章将对线性和非线性以及混沌理论进行一个简略的介绍.

--正文(此节的代码也会附上:)

   线性,或者叫线性函数,满足两个条件:(reference: https://mathresearch.utsa.edu/wi ... Linearity#Linearity)

  • Additivity: f(x + y) = f(x) + f(y).-可加性
  • Homogeneity of degree 1: fx) = α f(x) for all α.(个人认为也是可加性的补充说明)


   而只要上述任意一条不满足,则为非线性.


   估计有人会说,不是讲模式和同化嘛,为什么要讨论线性(linearity)和非线性(nonlinearity)?

   因为纳维斯托克斯方程(以下简称纳)是一个非线性方程,只有在了解了什么是线性什么是非线性以及它们各自有什么特点之后,才能对纳的解的性质有一个大概理解.

   当然,严格意义上,上述说法其实只能说明探究非线性的缘由,并不能说明为什么要探究线性和非线性之间的区别,毕竟纳是也只是属于非线性,理论上只需要讨论非线性的情况便可.

   那么,为什么要讨论线性和非线性的区别呢,这就来到了最关键的,即模式的初衷的问题上了-为了作出一个尽量精确的预报,这个尽量精确是相较于真值而言的,那么假设,就像上一节中最后提到的,当我把-20度的温度值代入对应真值(我们假设)为20度的初始场时,显而易见,得到的预报结果,假设是在t1时刻,肯定会和t1时刻对应的温度真值存在(而且是较大的)差异.

   而这种相较于真值的差异/不确定性(uncertainty),便是我们想要确定的,因为模式不可能达到完美!我们必须首先承认,就算是到达人类岁月的尽头,这个宇宙的未知对我们来说仍是无穷无尽的.

   但若是知道每个时刻下,模式预报场相较于真值的不确定性,那么便可量化该预报场的可信度,如果不确定性高,则相较于真值偏差较大,而若不确定性低,则相较于真值偏差较小,当然这是一个相对的概念.

   好了,废话了这么久,到底线性和非线性是否会在上述预报量和真值差异的也即是不确定性的模拟上存在差异呢?

   让我们拭目以待~(以下均假设模式本身完美,即仅考虑初始场带来的误差)

密码修改失败请联系微信:mofangbao
 楼主| 发表于 2023-8-26 00:07:14 | 显示全部楼层
实验1:匀加速直线运动

   download.png

  我们假设,在t=t0时,a的真值为2.0,s的真值为10.0

   download (1).png

  1.1:背景场没有偏差,即

   download (2).png

   download (3).png

   显而易见,在背景场与真值不存在差异时,代入同样一个模式中,在任意时刻都没有差异
密码修改失败请联系微信:mofangbao
回复 支持 反对

使用道具 举报

 楼主| 发表于 2023-8-26 00:09:20 | 显示全部楼层
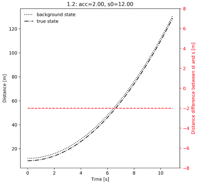
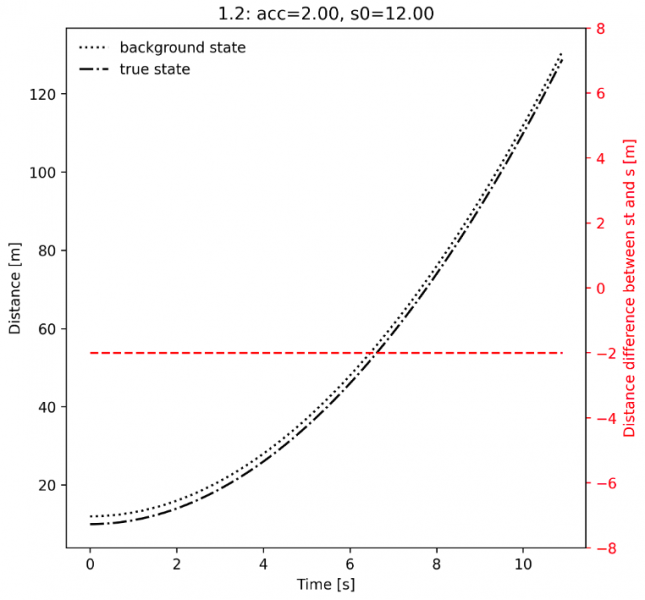
1.2: 初始加速度项不存在偏差,初始距离在背景场和真值之间存在差异

    download (4).png

    download (5).png

   上图为,当误差(背景场和真值在初始距离上存在差异)被作用于线性函数时的情形

   将这种被作用于线性函数的误差一般化:

    download (6).png

   上式右边第一项即为由t=t0到t=t1时的误差大小(t1可为任意值),在线性函数中可以显式(explicitly)表示

密码修改失败请联系微信:mofangbao
回复 支持 反对

使用道具 举报

 楼主| 发表于 2023-8-26 00:12:36 | 显示全部楼层

从贝叶斯(bayes)到局地集合变换卡尔曼滤波(LETKF)~C2-模式的线性与非线性

1.3:初始加速度项存在误差,初始距离不存在误差
   download (7).png

   download (8).png

   上图为,当误差(背景场和真值在初始加速度上存在差异)被作用于非线性函数时的情形

   将这种被作用于非线性函数的误差一般化:

    download (9).png

   该式说明,由于非线性函数自身的性质(即不满足可加性),使得背景场相较于真值的误差无法显式的传播

   以上,便是实验一的所有结果
密码修改失败请联系微信:mofangbao
回复 支持 反对

使用道具 举报

 楼主| 发表于 2023-8-26 00:15:22 | 显示全部楼层
   到这里,你可能要问了,不就是一个可以显式(线性函数)一个不可以显式(非线性函数)的随时间传递误差吗?

   确实,任何时刻的误差都能被精确刻画,不管是在线性情况还是在非线性情况,但这是需要建立在什么条件下呢?

    download (10).png

   需要知道任意时刻的真值,便能知道每个时刻的误差勒

   乐!真值都知道了,那还要预报啥?如实验之前所说,真值是不可接触的,能做的只有确定背景场相较于真值的不确定性,此处即误差的体现

   综上所述,在线性情况下,如果知道某一个时刻的误差,那便可以通过原本的那个模式显式无误地将该误差传播到任意时刻;在非线性情况下,因为不满足可加性,便无法传播误差,无法传播误差,便无法得到某个时刻背景场的不确定性,得到的背景场的可信度便没有了一个量度!

   故而,在纳这样一个非线性方程组的情景下,便是对应上一段后者结论:就算得到某一个背景场相较于真值的偏差,但该偏差无法被作用于模式传播到下一时刻

   这便是混沌理论,该理论,第一满足:真值是不可接触的,第二满足:模式是非线性的,得到的结论便是,误差无法通过模式被传递到下一时刻(就算模式完美).

--后记

   第二节到此为止吧,明明想把lorenz63放出来溜个弯儿,可惜快断网了,下一节,准备聊一聊蝴蝶效应(lorenz63),集合预报,高斯分布形式的误差等等

   以上

   Yunhaofu, 20230825, 23:57

   code: accelaration.ipynb (703.7 KB, 下载次数: 2)
密码修改失败请联系微信:mofangbao
回复 支持 反对

使用道具 举报

发表于 2023-8-31 09:24:29 | 显示全部楼层
真的挺好的,非常感谢!
密码修改失败请联系微信:mofangbao
回复 支持 反对

使用道具 举报

您需要登录后才可以回帖 登录 | 立即注册

本版积分规则

Copyright ©2011-2014 bbs.06climate.com All Rights Reserved.  Powered by Discuz! (京ICP-10201084)

本站信息均由会员发表,不代表气象家园立场,禁止在本站发表与国家法律相抵触言论

快速回复 返回顶部 返回列表