爱气象,爱气象家园! 

气象家园

 找回密码
 立即注册

QQ登录

只需一步,快速开始

搜索
查看: 9794|回复: 0

ncl计算水汽平衡方程

[复制链接]
发表于 2021-1-8 10:52:04 | 显示全部楼层 |阅读模式

登录后查看更多精彩内容~

您需要 登录 才可以下载或查看,没有帐号?立即注册

x
最近在算水汽平衡方程moisture budget遇到了一些问题请教一下大家!
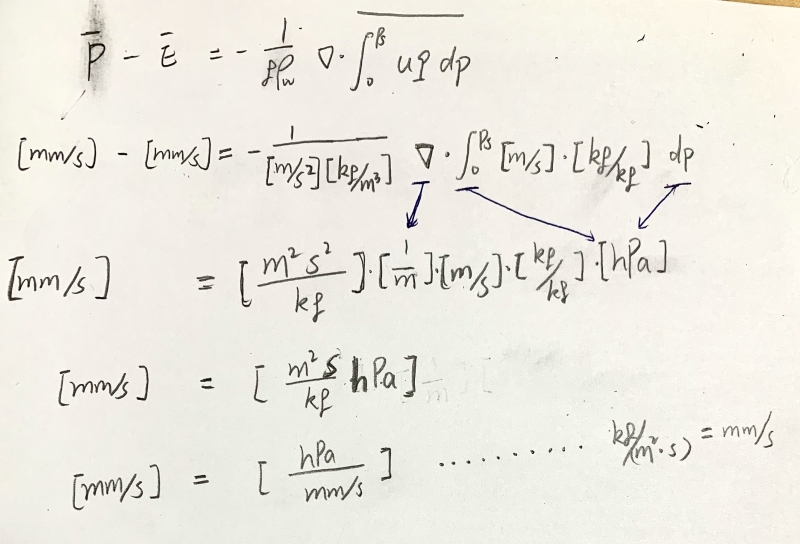
根据水汽平衡方程,降水和蒸发之差等于水汽通量散度的垂直积分:
moisture_budget.png 其中,P为降水,E蒸发,g重力加速度,Pw水的密度,u水平风场,q比湿,p气压。
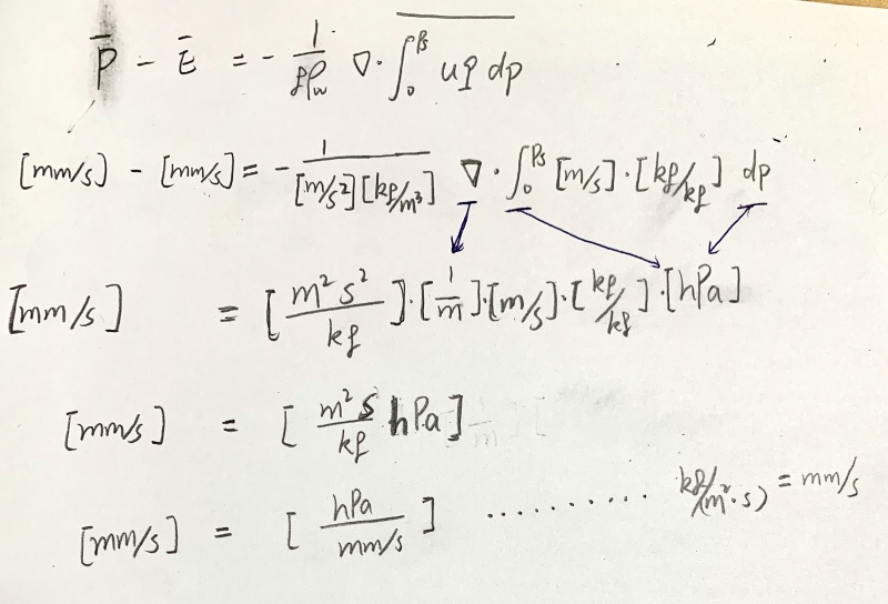
等式左边的单位均能换算成mm/s,因此等式右边的单位也应该是mm/s,但由气象家园里ncl计算整层水汽通量散度的经验贴[url=http://bbs.06climate.com/NCL计算单层和整层水汽通量、水汽通量散度的单位和量级%20http://bbs.06climate.com/forum.p ... mp;fromuid=49064%20(出处:%20气象家园)]NCL计算单层和整层水汽通量、水汽通量散度的单位和量级 http://bbs.06climate.com/forum.p ... 5&fromuid=49064 (出处: 气象家园)[/url]:vibeta(uv2dv_cfd(q*u/g))*10000000→10e-5kg/(m2*s) 在没有除以水的密度1000kg/m3的情况下水汽通量散度垂直积分的单位就已经是mm/s (kg/(m2*s)实际上是等于mm/s)。这是一个疑问。
根据方程自己推算了一下单位:
单位.JPG 发现等式左右两边单位好像是不相等的?是不是我没算对呀?

用wrfout数据计算水汽平衡方程,蒸发E用的是潜热通量(单位W/m2)LH*0.4*(10^-6)转换为蒸发量(单位mm/s),水汽通量散度根据上面气象家园的帖子计算1000hPa-150hPa垂直积分,等式两边差异很大。

有没有算过的大佬讲解一下?谢谢!

密码修改失败请联系微信:mofangbao
您需要登录后才可以回帖 登录 | 立即注册

本版积分规则

Copyright ©2011-2014 bbs.06climate.com All Rights Reserved.  Powered by Discuz! (京ICP-10201084)

本站信息均由会员发表,不代表气象家园立场,禁止在本站发表与国家法律相抵触言论

快速回复 返回顶部 返回列表