爱气象,爱气象家园! 

气象家园

 找回密码
 立即注册

QQ登录

只需一步,快速开始

搜索
查看: 11036|回复: 2

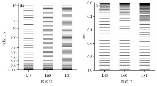
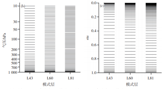
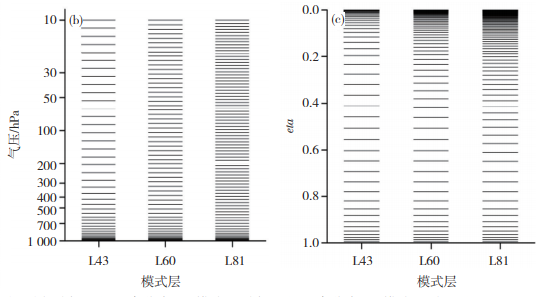
[作图] 求助各位大神模式层随气压垂直分布图该怎么画呀,如下图这样的

[复制链接]
发表于 2021-4-8 20:57:32 | 显示全部楼层 |阅读模式

登录后查看更多精彩内容~

您需要 登录 才可以下载或查看,没有帐号?立即注册

x
就是怎么才能变为横线呢,再有就是43层的具体气压在wf模拟出的结果里有值吗
{G@)SM{KT`WIOKE2(NSC}B5.png
密码修改失败请联系微信:mofangbao
发表于 2021-4-9 07:58:01 来自手机 | 显示全部楼层
如果用matlab的话你看一下
plot( [1,1], [2,1])就明白了
密码修改失败请联系微信:mofangbao
回复 支持 反对

使用道具 举报

 楼主| 发表于 2021-4-9 10:21:24 | 显示全部楼层
zyn4624 发表于 2021-4-9 07:58
如果用matlab的话你看一下
plot( [1,1], [2,1])就明白了

感谢,我试试用matlab画,放弃ncl了找了好久都找不到对应的例子
密码修改失败请联系微信:mofangbao
回复 支持 反对

使用道具 举报

您需要登录后才可以回帖 登录 | 立即注册

本版积分规则

Copyright ©2011-2014 bbs.06climate.com All Rights Reserved.  Powered by Discuz! (京ICP-10201084)

本站信息均由会员发表,不代表气象家园立场,禁止在本站发表与国家法律相抵触言论

快速回复 返回顶部 返回列表