爱气象,爱气象家园! 

气象家园

 找回密码
 立即注册

QQ登录

只需一步,快速开始

搜索
查看: 6258|回复: 3

[源代码] python计算Ekman和惯性波

[复制链接]
发表于 2021-12-29 13:04:03 | 显示全部楼层 |阅读模式

登录后查看更多精彩内容~

您需要 登录 才可以下载或查看,没有帐号?立即注册

x
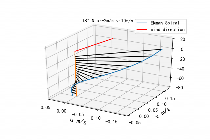
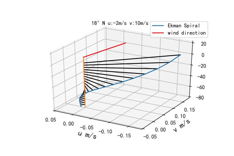
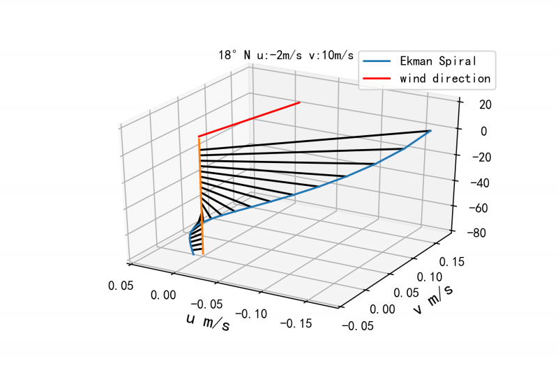
大家自己看着改哈,仅供参考
惯性_2.png
惯性.png
Ekman.png
惯性_4.png

Ekman&inwave.zip

2.63 KB, 下载次数: 17, 下载积分: 金钱 -5

密码修改失败请联系微信:mofangbao
发表于 2023-11-25 14:56:32 | 显示全部楼层
谢谢楼主分享,我有一个小问题,就是你计算Ekman流的时候为什么Ekman深度DE=4.3*U10/np.sqrt(sinfi)
我查到别的公式和你的差不多,但是那个系数不一样,是因为什么呢?谢谢楼主!!
微信图片_20231125003354.png

点评

你好,请问你这个图片来源是哪里,我也想学习一下  发表于 2023-11-30 10:21
密码修改失败请联系微信:mofangbao
回复 支持 反对

使用道具 举报

发表于 2024-1-3 11:57:03 | 显示全部楼层
你猜不猜 发表于 2023-11-25 14:56
谢谢楼主分享,我有一个小问题,就是你计算Ekman流的时候为什么Ekman深度DE=4.3*U10/np.sqrt(sinfi)
我查 ...

chrome-extension://efaidnbmnnnibpcajpcglclefindmkaj/http://www.geo.cornell.edu/ocean/p_ocean/ppt_notes/16_EkmanTransport.pdf

pdf链接在这里,不知道这样回复你能不能看到。我下载了pdf好像附不上附件
密码修改失败请联系微信:mofangbao
回复 支持 反对

使用道具 举报

您需要登录后才可以回帖 登录 | 立即注册

本版积分规则

Copyright ©2011-2014 bbs.06climate.com All Rights Reserved.  Powered by Discuz! (京ICP-10201084)

本站信息均由会员发表,不代表气象家园立场,禁止在本站发表与国家法律相抵触言论

快速回复 返回顶部 返回列表