爱气象,爱气象家园! 

气象家园

 找回密码
 立即注册

QQ登录

只需一步,快速开始

搜索
查看: 4557|回复: 0

[讨论] 牛顿冷却系数

[复制链接]
发表于 2022-3-24 20:11:15 | 显示全部楼层 |阅读模式

登录后查看更多精彩内容~

您需要 登录 才可以下载或查看,没有帐号?立即注册

x
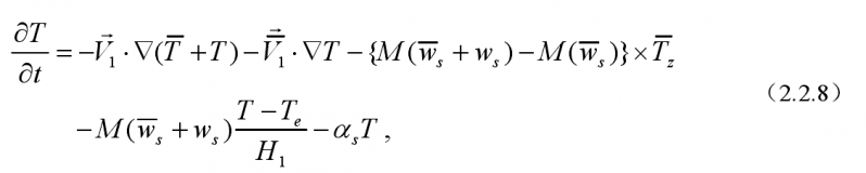
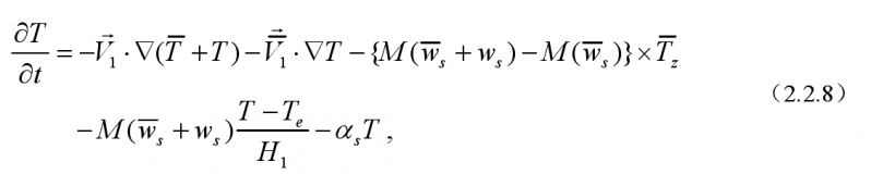
海温倾向方程中的牛顿冷却项αs的单位为什么是(125days)-1这种单位呢?而在实际模式计算中αs却是等于0.98这样呢?求大佬们指点
微信图片_20220324200558.png
微信图片_20220324200927.png
密码修改失败请联系微信:mofangbao
您需要登录后才可以回帖 登录 | 立即注册

本版积分规则

Copyright ©2011-2014 bbs.06climate.com All Rights Reserved.  Powered by Discuz! (京ICP-10201084)

本站信息均由会员发表,不代表气象家园立场,禁止在本站发表与国家法律相抵触言论

快速回复 返回顶部 返回列表