爱气象,爱气象家园! 

气象家园

 找回密码
 立即注册

QQ登录

只需一步,快速开始

搜索
查看: 1806|回复: 3

help.....WRF理想模型bubble600K不能算

[复制链接]
发表于 2023-5-15 22:19:20 | 显示全部楼层 |阅读模式
10金钱
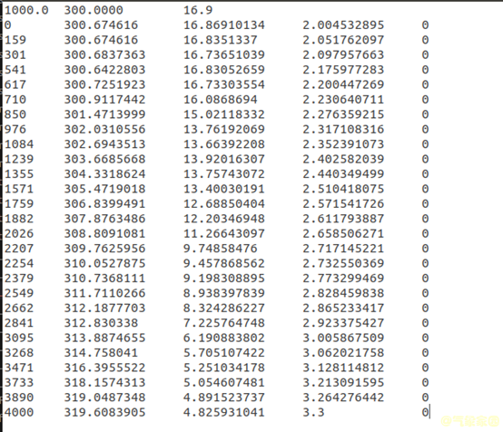
初学WRF,修改em_quarter_ss case,将bubble设置为600K,运行几s之后,输出变成了NAN。100K倒是可以。


inputsounding.png
bubble.png
密码修改失败请联系微信:mofangbao
发表于 2023-5-16 00:28:56 | 显示全部楼层
你要考虑一下实际情况,热泡扰动的最大值的数量级一般是10的0次方,也就是个位数,到10K都是比较少的,这个缺省值是多少?
密码修改失败请联系微信:mofangbao
回复

使用道具 举报

 楼主| 发表于 2023-5-16 09:40:39 | 显示全部楼层
付亚男 发表于 2023-5-16 00:28
你要考虑一下实际情况,热泡扰动的最大值的数量级一般是10的0次方,也就是个位数,到10K都是比较少的,这个 ...

我是想复现这篇"Arthur et al_2021_Atmospheric Environment_Simulating nuclear cloud rise within a realistic atmosphere using the Weather",然后文章里说是修改了初始化,但是就提了一句,我提取了他input_sounding的数据,100K还可以算,再高就不行了
密码修改失败请联系微信:mofangbao
回复

使用道具 举报

发表于 2023-5-16 10:36:27 | 显示全部楼层
zy1196890159 发表于 2023-5-16 09:40
我是想复现这篇"Arthur et al_2021_Atmospheric Environment_Simulating nuclear cloud rise within a re ...

nuclear~~
厉害了,围观nuclear
密码修改失败请联系微信:mofangbao
回复

使用道具 举报

您需要登录后才可以回帖 登录 | 立即注册

本版积分规则

Copyright ©2011-2014 bbs.06climate.com All Rights Reserved.  Powered by Discuz! (京ICP-10201084)

本站信息均由会员发表,不代表气象家园立场,禁止在本站发表与国家法律相抵触言论

快速回复 返回顶部 返回列表