- 积分
- 2231
- 贡献
-
- 精华
- 在线时间
- 小时
- 注册时间
- 2018-9-29
- 最后登录
- 1970-1-1
|

楼主 |
发表于 2023-8-26 00:15:22
|
显示全部楼层
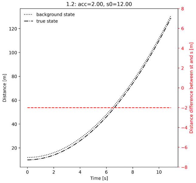
到这里,你可能要问了,不就是一个可以显式(线性函数)一个不可以显式(非线性函数)的随时间传递误差吗?
确实,任何时刻的误差都能被精确刻画,不管是在线性情况还是在非线性情况,但这是需要建立在什么条件下呢?
需要知道任意时刻的真值,便能知道每个时刻的误差勒
乐!真值都知道了,那还要预报啥?如实验之前所说,真值是不可接触的,能做的只有确定背景场相较于真值的不确定性,此处即误差的体现
综上所述,在线性情况下,如果知道某一个时刻的误差,那便可以通过原本的那个模式显式无误地将该误差传播到任意时刻;在非线性情况下,因为不满足可加性,便无法传播误差,无法传播误差,便无法得到某个时刻背景场的不确定性,得到的背景场的可信度便没有了一个量度!
故而,在纳这样一个非线性方程组的情景下,便是对应上一段后者结论:就算得到某一个背景场相较于真值的偏差,但该偏差无法被作用于模式传播到下一时刻
这便是混沌理论,该理论,第一满足:真值是不可接触的,第二满足:模式是非线性的,得到的结论便是,误差无法通过模式被传递到下一时刻(就算模式完美).
--后记
第二节到此为止吧,明明想把lorenz63放出来溜个弯儿,可惜快断网了,下一节,准备聊一聊蝴蝶效应(lorenz63),集合预报,高斯分布形式的误差等等
以上
Yunhaofu, 20230825, 23:57
code:
accelaration.ipynb
(703.7 KB, 下载次数: 2)
|
|