爱气象,爱气象家园! 

气象家园

 找回密码
 立即注册

QQ登录

只需一步,快速开始

搜索
查看: 971|回复: 5

计算大气垂直运动引起的绝热变化的问题

[复制链接]
发表于 2024-6-6 21:00:33 | 显示全部楼层 |阅读模式

登录后查看更多精彩内容~

您需要 登录 才可以下载或查看,没有帐号?立即注册

x
本帖最后由 LLL船猫 于 2024-6-6 21:04 编辑

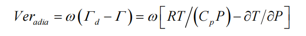
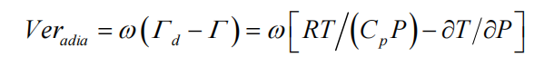
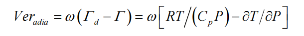
公式如图,下面是我的脚本
; ;=============================计算Ver的数据=====================
f4 = addfile("h:/data1/LFCA/era5_t_w_800hPa_3level_1940-2022_q_1.nc", "r")
t=short2flt(f4->t(:,:,:,:))
w=short2flt(f4->w(:,:,:,:));pa/s
printVarSummary(w)
t_jja=new((/83,3,181,360/),"float")
w_jja=new((/83,3,181,360/),"float")
do j=0,82
          t_jja(j,:,:,:)=dim_avg_n(t(j*12+5:j*12+7,:,:,:), 0);夏季平均
          w_jja(j,:,:,:)=dim_avg_n(w(j*12+5:j*12+7,:,:,:), 0)
end do

copy_VarMeta(t(0,:,:,:), t_jja(0,:,:,:))
copy_VarMeta(w(0,:,:,:), w_jja(0,:,:,:))

;===================干空气温度递减率========================
;===================RT/CpP==================================
dTdP = new((/83,3,181,360/),typeof(t_jja),t_jja@_FillValue);3level  825hPa 850hPa 875hPa
Cp=1004.0;J/kg K
P=85000.0;Pa
R=287.0;J/K kg
dP=2500.0;Pa
dTdP(:,:,:,:) = center_finite_diff_n(t_jja(:,:,:,:),dP,False,0,1)
printVarSummary(dTdP)

Ver=new((/83,181,360/),"float")
do i=0,180
do j=0,360-1
Ver(:,i,j)=w_jja(:,1,i,j)*((R*t_jja(:,1,i,j)/(Cp*P))-dTdP(:,1,i,j))
end do
end do
copy_VarMeta(t(0,0,:,:), Ver(0,:,:))
printVarSummary(Ver)


  fnc          = "./era5_850hPa垂直运动的绝热加热_1940-2022_q_1.nc"
  system("/bin/rm -f "+fnc)               ; rm any pre-existing file            
  fout         = addfile(fnc, "c")   ; new netCDF file                  
  fout->Ver = Ver
  exit



然后我用这个数据画出的图比较怪,我看文献中有大面积的正异常和负异常,我这个就一小块一小块的,有没有大佬帮忙看看脚本哪里错了
我画的图如下

QQ图片20240606205839.png
QQ2220606210118.png

文献中的图是这样的

文献中的图是这样的
密码修改失败请联系微信:mofangbao
发表于 2024-6-7 13:59:23 | 显示全部楼层
你有没有跟着也做个回归看看呢
密码修改失败请联系微信:mofangbao
回复 支持 反对

使用道具 举报

 楼主| 发表于 2024-6-9 19:52:09 | 显示全部楼层
肠胃猫 发表于 2024-6-7 13:59
你有没有跟着也做个回归看看呢

我做过了的,倒数第二张图就是我做的回归结果,当然指数和他的并不太一样,但都是高温事件的指数,总觉得分布差异有点太大
密码修改失败请联系微信:mofangbao
回复 支持 反对

使用道具 举报

发表于 2024-6-9 22:10:49 | 显示全部楼层
LLL船猫 发表于 2024-6-9 19:52
我做过了的,倒数第二张图就是我做的回归结果,当然指数和他的并不太一样,但都是高温事件的指数,总觉得 ...

这差的是有一点大,感觉原文是哪NCEP资料做的,你是拿ERA5资料
密码修改失败请联系微信:mofangbao
回复 支持 反对

使用道具 举报

 楼主| 发表于 2024-6-11 15:22:00 | 显示全部楼层
肠胃猫 发表于 2024-6-9 22:10
这差的是有一点大,感觉原文是哪NCEP资料做的,你是拿ERA5资料

那我换一套资料试试看
密码修改失败请联系微信:mofangbao
回复 支持 反对

使用道具 举报

发表于 2024-6-16 22:12:13 | 显示全部楼层
LLL船猫 发表于 2024-6-11 15:22
那我换一套资料试试看

请问你换了资料后,和文献结果相近了吗?
密码修改失败请联系微信:mofangbao
回复 支持 反对

使用道具 举报

您需要登录后才可以回帖 登录 | 立即注册

本版积分规则

Copyright ©2011-2014 bbs.06climate.com All Rights Reserved.  Powered by Discuz! (京ICP-10201084)

本站信息均由会员发表,不代表气象家园立场,禁止在本站发表与国家法律相抵触言论

快速回复 返回顶部 返回列表