爱气象,爱气象家园! 

气象家园

 找回密码
 立即注册

QQ登录

只需一步,快速开始

搜索
查看: 1404|回复: 9

[求助] EP通量放缩方法

[复制链接]
发表于 2024-12-5 14:05:11 | 显示全部楼层 |阅读模式

登录后查看更多精彩内容~

您需要 登录 才可以下载或查看,没有帐号?立即注册

x
本帖最后由 thelightonmyway 于 2024-12-8 18:20 编辑

关于EP通量的放缩方法,求问该怎么做?

我已经计算出来了EP通量,并根据NOAA的放缩方法,考虑了对流层和平流层传播,正如这篇帖子https://bbs.06climate.com/forum. ... 27226&extra=&page=1所示,

                               
登录/注册后可看大图


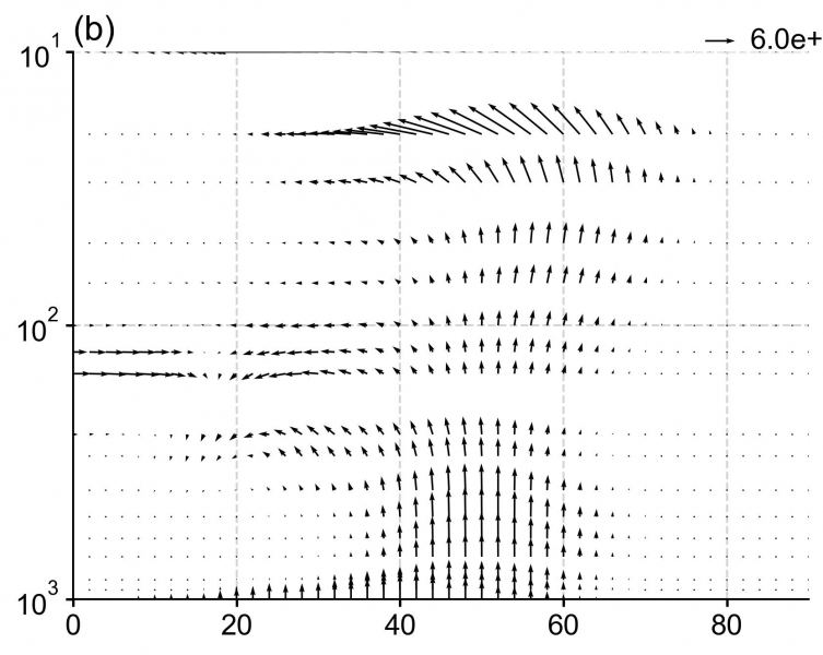
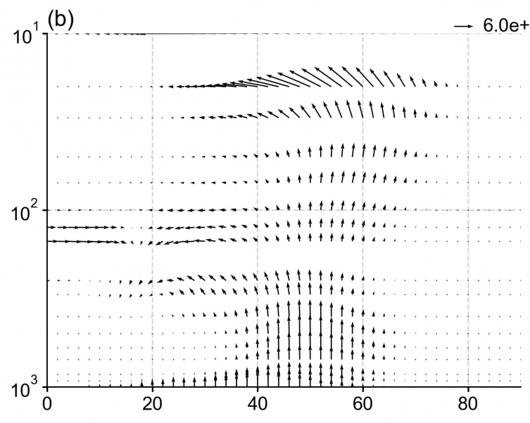
此外,我用了Edmon, Hoskins & McIntyre JAS 1980的放缩方法,输出为下图:


发现在平流层的箭头还是太小了,求助各位大佬可否有改进方法?还是需要换放缩的方法?

另外,我用的库是aostools,我正在学习这个库中关于EP通量的计算与放缩,并在github提交了问题,欢迎各位大佬讨论。
EPflux2.jpg
密码修改失败请联系微信:mofangbao
发表于 2024-12-6 09:28:43 | 显示全部楼层
你输出的图效果已经可以了,具体的放缩不同文献也有很多差别,根据你的需要放大就行,最后图注说明一下就好。
密码修改失败请联系微信:mofangbao
回复 支持 反对

使用道具 举报

 楼主| 发表于 2024-12-6 17:36:47 | 显示全部楼层
是冉冉升起的冉 发表于 2024-12-6 09:28
你输出的图效果已经可以了,具体的放缩不同文献也有很多差别,根据你的需要放大就行,最后图注说明一下就好 ...

谢谢大佬,想问一下,用什么方法可以放大呢?我只知道这个方法,这部分的代码我还没看懂,是函数里带的。
我还有个没理解的是EP通量的计算是必须全球范围的经度吗?我试过经度选中国,长得就奇怪了。
密码修改失败请联系微信:mofangbao
回复 支持 反对

使用道具 举报

发表于 2024-12-6 19:49:45 | 显示全部楼层
thelightonmyway 发表于 2024-12-6 17:36
谢谢大佬,想问一下,用什么方法可以放大呢?我只知道这个方法,这部分的代码我还没看懂,是函数里带的。 ...

EP通量的概念推导过程中需要进行纬向平均,不能选择区域的进行平均,如果需要区域的那你需要用T-N通量或者Plumb通量,最直接的放大方法直接垂直方向乘1000。
密码修改失败请联系微信:mofangbao
回复 支持 反对

使用道具 举报

 楼主| 发表于 2024-12-8 14:47:04 | 显示全部楼层
是冉冉升起的冉 发表于 2024-12-6 19:49
EP通量的概念推导过程中需要进行纬向平均,不能选择区域的进行平均,如果需要区域的那你需要用T-N通量或 ...

明白了,谢谢
密码修改失败请联系微信:mofangbao
回复 支持 反对

使用道具 举报

 楼主| 发表于 2024-12-8 18:19:25 | 显示全部楼层
是冉冉升起的冉 发表于 2024-12-6 19:49
EP通量的概念推导过程中需要进行纬向平均,不能选择区域的进行平均,如果需要区域的那你需要用T-N通量或 ...

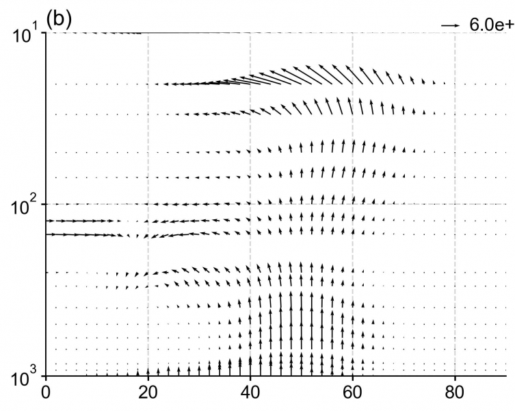
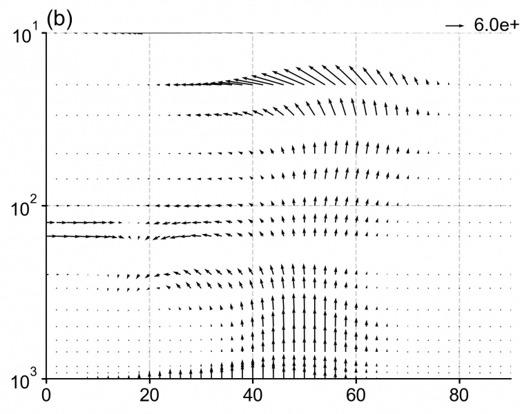
好像不是特别明白,您说的是垂直方向*1000/p吗?我这样做了之后高层的箭头的确变大了,如下图所示。我想请问一下这样做放缩有依据吗?还是说只需要在文章中写出来自己的做法就行了?

另外,想请问一下大佬关于数量级的问题。我放缩后的数量级是16E(如图例所示),想问一下大佬这正常吗?因为我看文章里都是8E。
EPflux2_new.jpg
密码修改失败请联系微信:mofangbao
回复 支持 反对

使用道具 举报

发表于 2024-12-8 18:59:55 | 显示全部楼层
thelightonmyway 发表于 2024-12-8 18:19
好像不是特别明白,您说的是垂直方向*1000/p吗?我这样做了之后高层的箭头的确变大了,如下图所示。我想 ...

具体的依据我忘记了,但是你在文章中说明自己的做法就可以,然后量级我没有看过EP的,你可以复现一下别人的文章。
密码修改失败请联系微信:mofangbao
回复 支持 反对

使用道具 举报

 楼主| 发表于 2024-12-8 19:15:54 | 显示全部楼层
是冉冉升起的冉 发表于 2024-12-8 18:59
具体的依据我忘记了,但是你在文章中说明自己的做法就可以,然后量级我没有看过EP的,你可以复现一下别人 ...

OK,谢谢大佬
密码修改失败请联系微信:mofangbao
回复 支持 反对

使用道具 举报

发表于 2025-3-1 11:37:12 | 显示全部楼层
你好,可以求一下EP通量的计算方法吗
密码修改失败请联系微信:mofangbao
回复 支持 反对

使用道具 举报

发表于 2025-3-31 23:14:02 | 显示全部楼层
楚楚爱吃桃 发表于 2025-3-1 11:37
你好,可以求一下EP通量的计算方法吗

你好,请问你会了嘛
密码修改失败请联系微信:mofangbao
回复 支持 反对

使用道具 举报

您需要登录后才可以回帖 登录 | 立即注册

本版积分规则

Copyright ©2011-2014 bbs.06climate.com All Rights Reserved.  Powered by Discuz! (京ICP-10201084)

本站信息均由会员发表,不代表气象家园立场,禁止在本站发表与国家法律相抵触言论

快速回复 返回顶部 返回列表