爱气象,爱气象家园! 

气象家园

 找回密码
 立即注册

QQ登录

只需一步,快速开始

搜索
查看: 19188|回复: 3

[求助] 交叉谱分析,凝聚谱始终为1

[复制链接]
发表于 2020-7-30 15:21:44 | 显示全部楼层 |阅读模式

登录后查看更多精彩内容~

您需要 登录 才可以下载或查看,没有帐号?立即注册

x
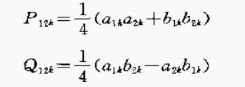
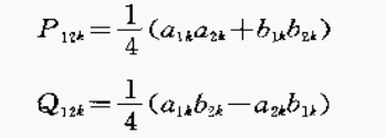
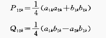
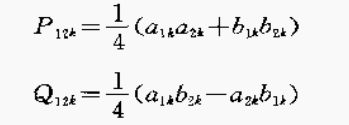
各位前辈,我在按照书上写交叉谱的时候,做到凝聚谱,发现我按书上公式来算分子分母相等。我觉得肯定是我理解有问题,麻烦大家帮我看看哪里有问题吧。代码如下
def comput_cross_spe(u, v):
    u_fft = np.fft.fftshift(np.fft.fft(u))
    v_fft = np.fft.fftshift(np.fft.fft(v))
    a1 = u_fft.real
    a2 = v_fft.real
    b1 = u_fft.imag
    b2 = v_fft.imag
    P = (a1*a2 + b1*b2)/4
    Q = (a1*b2 - a2*b1)/4
    P11 = (a1*a1 + b1*b1)/4
    P22 = (a2*a2 + b2*b2)/4
    R = (P**2 + Q**2)/(P11*P22)
    print(R)
    T = np.arctan(Q/P)
    return [P, Q, R, T]

微信截图_20200730152117.png
微信截图_20200730152126.png
密码修改失败请联系微信:mofangbao
 楼主| 发表于 2020-7-30 15:44:15 | 显示全部楼层
问题解决了,需要平滑才行
密码修改失败请联系微信:mofangbao
回复 支持 反对

使用道具 举报

发表于 2021-8-6 11:23:01 | 显示全部楼层
渣渣顼 发表于 2020-7-30 15:44
问题解决了,需要平滑才行

楼主可以分享下平滑的方法吗
密码修改失败请联系微信:mofangbao
回复 支持 反对

使用道具 举报

 楼主| 发表于 2021-8-9 17:55:35 | 显示全部楼层
寒夜未明 发表于 2021-8-6 11:23
楼主可以分享下平滑的方法吗

def comput_cross_spe(u, v):
    u_fft = np.fft.fftshift(np.fft.fft(u))
    v_fft = np.fft.fftshift(np.fft.fft(v))
    a1 = u_fft.real
    a2 = v_fft.real
    b1 = u_fft.imag
    b2 = v_fft.imag
    P = (a1 * a2 + b1 * b2) / 4
    Q = (a1 * b2 - a2 * b1) / 4
    P11 = smooth_operation((a1 * a1 + b1 * b1) / 4)
    P22 = smooth_operation((a2 * a2 + b2 * b2) / 4)
    P = smooth_operation(P)
    Q = smooth_operation(Q)
    R = (P ** 2 + Q ** 2) / (P11 * P22)
    T = np.arctan(Q / P)
    return [P, Q, R, T]

def smooth_operation(P):
    P_size = len(P)
    for i in range(P_size):
        if i == 0:
            P[0] = (P[0] + P[1]) * 0.5
        elif i == P_size - 1:
            P = (P + P[i - 1]) * 0.5
        else:
            P = 0.25 * P[i - 1] + 0.5 * P + 0.25 * P[i + 1]
    return P
密码修改失败请联系微信:mofangbao
回复 支持 反对

使用道具 举报

您需要登录后才可以回帖 登录 | 立即注册

本版积分规则

Copyright ©2011-2014 bbs.06climate.com All Rights Reserved.  Powered by Discuz! (京ICP-10201084)

本站信息均由会员发表,不代表气象家园立场,禁止在本站发表与国家法律相抵触言论

快速回复 返回顶部 返回列表