爱气象,爱气象家园! 

气象家园

 找回密码
 立即注册

QQ登录

只需一步,快速开始

搜索
查看: 16805|回复: 13

[经验总结] rossby波波源的计算求助!!

[复制链接]
发表于 2020-8-18 15:57:03 | 显示全部楼层 |阅读模式

登录后查看更多精彩内容~

您需要 登录 才可以下载或查看,没有帐号?立即注册

x
有前辈计算过rossby波波源吗?求可以分享的程序
密码修改失败请联系微信:mofangbao
发表于 2020-8-18 18:42:21 | 显示全部楼层
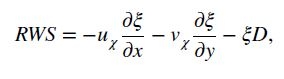
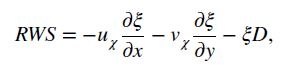
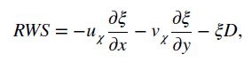
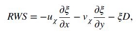
涉及到求辐合(散)风场、涡度及其导数,散度。用下面的函数组合一下就可以了

辐合(散)风场:
http://www.ncl.ucar.edu/Document ... t-in/dv2uvF-1.shtml

涡度:
http://www.ncl.ucar.edu/Document ... in/uv2vrdvF-1.shtml

导数:
http://www.ncl.ucar.edu/Document ... ad_latlon_cfd.shtml

散度:
http://www.ncl.ucar.edu/Document ... t-in/uv2dvF-1.shtml
捕获.JPG
密码修改失败请联系微信:mofangbao
回复 支持 1 反对 0

使用道具 举报

 楼主| 发表于 2020-8-18 19:42:57 | 显示全部楼层
谢谢你!!!我仔细看一下!!
密码修改失败请联系微信:mofangbao
回复 支持 反对

使用道具 举报

发表于 2021-9-10 16:49:55 | 显示全部楼层
想咨询下用波活动通量进行计算散度和这样直接计算得到的波源是一样的吗?
密码修改失败请联系微信:mofangbao
回复 支持 反对

使用道具 举报

发表于 2021-11-11 19:47:24 | 显示全部楼层
问题解决了吗?有程序可以来参考下吗?
密码修改失败请联系微信:mofangbao
回复 支持 反对

使用道具 举报

发表于 2021-11-11 20:59:06 | 显示全部楼层
https://ajdawson.github.io/winds ... les/rws_xarray.html
这个是用python代码写的计算rossby波波源的。要用到windspharm这个库,这个库还可以计算流函数、势函数、无辐散风、无旋风等等。
这个库的安装要在Linux系统下才可以,你可以下一个Ubuntu来安装这个库,装好anacconda后。
用conda命令安装:conda install -c conda-forge windspharm
密码修改失败请联系微信:mofangbao
回复 支持 反对

使用道具 举报

 楼主| 发表于 2021-11-13 12:01:24 | 显示全部楼层
四叶 发表于 2021-11-11 20:59
https://ajdawson.github.io/windspharm/latest/examples/rws_xarray.html
这个是用python代码写的计算ros ...

感谢您!!!
密码修改失败请联系微信:mofangbao
回复 支持 反对

使用道具 举报

发表于 2021-12-9 23:03:19 | 显示全部楼层
wsx 发表于 2021-9-10 16:49
想咨询下用波活动通量进行计算散度和这样直接计算得到的波源是一样的吗?

好像是一回事哎
密码修改失败请联系微信:mofangbao
回复 支持 反对

使用道具 举报

发表于 2022-3-24 18:00:50 | 显示全部楼层
stepdance 发表于 2020-8-18 18:42
涉及到求辐合(散)风场、涡度及其导数,散度。用下面的函数组合一下就可以了

辐合(散)风场:

您好,请问这些项是原始场还是异常场啊?我如果挑选年份合成的话,是把RWS求出来做异常合成,还是直接挑出我要的年份的变量计算啊?非常非常期待您的解惑,感谢至极!
密码修改失败请联系微信:mofangbao
回复 支持 反对

使用道具 举报

发表于 2022-4-12 21:51:25 | 显示全部楼层
stepdance 发表于 2020-8-18 18:42
涉及到求辐合(散)风场、涡度及其导数,散度。用下面的函数组合一下就可以了

辐合(散)风场:

您好,想问一下您的公式有相关文献推荐吗?
密码修改失败请联系微信:mofangbao
回复 支持 反对

使用道具 举报

您需要登录后才可以回帖 登录 | 立即注册

本版积分规则

Copyright ©2011-2014 bbs.06climate.com All Rights Reserved.  Powered by Discuz! (京ICP-10201084)

本站信息均由会员发表,不代表气象家园立场,禁止在本站发表与国家法律相抵触言论

快速回复 返回顶部 返回列表