爱气象,爱气象家园! 

气象家园

 找回密码
 立即注册

QQ登录

只需一步,快速开始

搜索
查看: 9500|回复: 0

粗糙度的迭代方案计算

[复制链接]
回帖奖励 50 金钱 回复本帖可获得 5 金钱奖励! 每人限 1 次(中奖概率 50%)
发表于 2021-6-11 12:35:57 | 显示全部楼层 |阅读模式

登录后查看更多精彩内容~

您需要 登录 才可以下载或查看,没有帐号?立即注册

x
本帖最后由 real-slimshady 于 2021-6-11 12:38 编辑

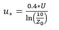
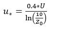
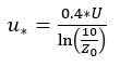
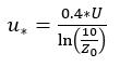
请问,粗糙度Z0是关于摩擦速度u*的函数,摩擦速度u*是关于粗糙度Z0和风速U的函数。这里有一个迭代的问题。请问该如何画粗糙度Z0与风速U关系的图,粗糙度U为Y轴,风速U为X轴?可以先假设风速U的值,但是对于粗糙度Z0和摩擦速度u*该如何处理?

                               
登录/注册后可看大图
         

                               
登录/注册后可看大图


ustar.jpg
Z0.jpg
密码修改失败请联系微信:mofangbao
您需要登录后才可以回帖 登录 | 立即注册

本版积分规则

Copyright ©2011-2014 bbs.06climate.com All Rights Reserved.  Powered by Discuz! (京ICP-10201084)

本站信息均由会员发表,不代表气象家园立场,禁止在本站发表与国家法律相抵触言论

快速回复 返回顶部 返回列表