爱气象,爱气象家园! 

气象家园

 找回密码
 立即注册

QQ登录

只需一步,快速开始

搜索
查看: 9366|回复: 3

求解一道基础大气物理学题

[复制链接]
发表于 2021-7-20 19:32:55 | 显示全部楼层 |阅读模式
应用气象
我看过提问的智慧: 看过

登录后查看更多精彩内容~

您需要 登录 才可以下载或查看,没有帐号?立即注册

x
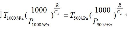
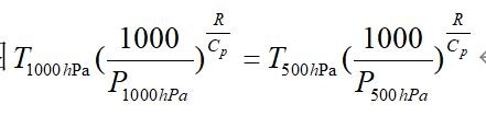
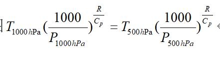
具有初始温度27摄氏度的干空气微团,绝热从1000hPa上升到500hPa,它的中止温度为多少摄氏度?
我用我用泊松方程算出来是-27.9摄氏度,答案是-26.9度,是我算错了吗?

                               
登录/注册后可看大图

求各位大佬解答

                               
登录/注册后可看大图

密码修改失败请联系微信:mofangbao
发表于 2021-7-21 09:08:12 | 显示全部楼层
用位温守恒算吧
QQ截图20210721090553.jpg
QQ截图20210721090739.jpg
密码修改失败请联系微信:mofangbao
回复 支持 反对

使用道具 举报

发表于 2021-7-21 15:28:47 | 显示全部楼层
干绝热上升,楼上正解
密码修改失败请联系微信:mofangbao
回复 支持 反对

使用道具 举报

 楼主| 发表于 2021-7-23 10:32:54 来自手机 | 显示全部楼层

谢谢大佬,我看到你的300.15我就知道错在哪了,我把27+273算成299了

                               
登录/注册后可看大图
感谢感谢
密码修改失败请联系微信:mofangbao
回复 支持 反对

使用道具 举报

您需要登录后才可以回帖 登录 | 立即注册

本版积分规则

Copyright ©2011-2014 bbs.06climate.com All Rights Reserved.  Powered by Discuz! (京ICP-10201084)

本站信息均由会员发表,不代表气象家园立场,禁止在本站发表与国家法律相抵触言论

快速回复 返回顶部 返回列表