爱气象,爱气象家园! 

气象家园

 找回密码
 立即注册

QQ登录

只需一步,快速开始

搜索
查看: 4960|回复: 5

土壤热通量

[复制链接]
发表于 2021-9-4 12:19:31 | 显示全部楼层 |阅读模式

登录后查看更多精彩内容~

您需要 登录 才可以下载或查看,没有帐号?立即注册

x
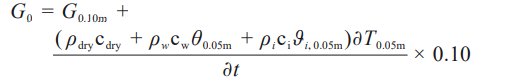
求问:利用TDE方法计算青藏高原的土壤热通量时,下面这个公式可以在什么软件下计算?以及其中参数含冰量的值该如何确定? 微信截图_20210904121847.png

密码修改失败请联系微信:mofangbao
发表于 2021-9-4 20:26:57 | 显示全部楼层
没有专门软件计算的,这个在excel中就可以计算呀,含冰量你可以看下相关文章,有介绍的,大概就是冰水体积转换嘛
密码修改失败请联系微信:mofangbao
回复 支持 反对

使用道具 举报

 楼主| 发表于 2021-9-7 16:12:43 | 显示全部楼层
你好,我想问一下,偏微分在Excel中要如何计算呢
密码修改失败请联系微信:mofangbao
回复 支持 反对

使用道具 举报

 楼主| 发表于 2021-9-7 16:16:48 | 显示全部楼层
C:\Users\Administrator\Desktop
密码修改失败请联系微信:mofangbao
回复 支持 反对

使用道具 举报

 楼主| 发表于 2021-9-7 16:19:56 | 显示全部楼层
看云淡风清 发表于 2021-9-4 20:26
没有专门软件计算的,这个在excel中就可以计算呀,含冰量你可以看下相关文章,有介绍的,大概就是冰水体积 ...

你好,我想问一下,偏微分在Excel中要如何计算呢
密码修改失败请联系微信:mofangbao
回复 支持 反对

使用道具 举报

发表于 2021-9-8 10:07:25 | 显示全部楼层
lyhcy 发表于 2021-9-7 16:19
你好,我想问一下,偏微分在Excel中要如何计算呢

我理解的偏微分这里可以用前后时刻的土壤温度差除以时间步长,至于是不是这样我不确定,供参考。
密码修改失败请联系微信:mofangbao
回复 支持 反对

使用道具 举报

您需要登录后才可以回帖 登录 | 立即注册

本版积分规则

Copyright ©2011-2014 bbs.06climate.com All Rights Reserved.  Powered by Discuz! (京ICP-10201084)

本站信息均由会员发表,不代表气象家园立场,禁止在本站发表与国家法律相抵触言论

快速回复 返回顶部 返回列表