爱气象,爱气象家园! 

气象家园

 找回密码
 立即注册

QQ登录

只需一步,快速开始

搜索
查看: 5948|回复: 6

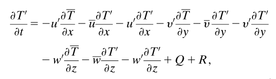
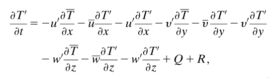
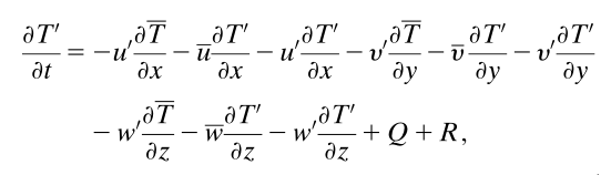
混合层热收支各项贡献

[复制链接]
发表于 2022-9-8 14:20:45 | 显示全部楼层 |阅读模式

登录后查看更多精彩内容~

您需要 登录 才可以下载或查看,没有帐号?立即注册

x
已求出除R以外的各项,想知道等式右边的各项对左边趋势项的贡献该如何计算直接用的平均相比好像不太对
微信图片_20220908141812.png
密码修改失败请联系微信:mofangbao
发表于 2023-5-20 19:31:19 | 显示全部楼层
请问楼主这个方程的出处是哪里呀
密码修改失败请联系微信:mofangbao
回复 支持 反对

使用道具 举报

 楼主| 发表于 2023-5-27 21:33:16 | 显示全部楼层
nkdjcbsk 发表于 2023-5-20 19:31
请问楼主这个方程的出处是哪里呀

Distinctive Precursory Air–Sea Signals between Regular and Super El Ni˜nos
可以看看这个文章~
密码修改失败请联系微信:mofangbao
回复 支持 反对

使用道具 举报

发表于 2023-6-5 11:35:18 | 显示全部楼层
爱吃芋圆的小刘 发表于 2023-5-27 21:33
Distinctive Precursory Air–Sea Signals between Regular and Super El Ni˜nos
可以看看这个文章 ...

十分感谢!
密码修改失败请联系微信:mofangbao
回复 支持 反对

使用道具 举报

发表于 2023-9-26 10:26:20 | 显示全部楼层
你好我想问问用这个方程需要转换单位吗?我自己计算的每项量级都很小
密码修改失败请联系微信:mofangbao
回复 支持 反对

使用道具 举报

发表于 2023-11-26 15:51:14 | 显示全部楼层
nkdjcbsk 发表于 2023-9-26 10:26
你好我想问问用这个方程需要转换单位吗?我自己计算的每项量级都很小

你好,我也遇到了这个问题,请问您解决了吗
密码修改失败请联系微信:mofangbao
回复 支持 反对

使用道具 举报

发表于 2024-6-4 09:05:42 | 显示全部楼层
请问楼主解决了吗,等式右边应该怎么算呀
密码修改失败请联系微信:mofangbao
回复 支持 反对

使用道具 举报

您需要登录后才可以回帖 登录 | 立即注册

本版积分规则

Copyright ©2011-2014 bbs.06climate.com All Rights Reserved.  Powered by Discuz! (京ICP-10201084)

本站信息均由会员发表,不代表气象家园立场,禁止在本站发表与国家法律相抵触言论

快速回复 返回顶部 返回列表