爱气象,爱气象家园! 

气象家园

 找回密码
 立即注册

QQ登录

只需一步,快速开始

搜索
查看: 1548|回复: 2

ncl功率谱图

[复制链接]
发表于 2023-10-15 19:38:08 | 显示全部楼层 |阅读模式

登录后查看更多精彩内容~

您需要 登录 才可以下载或查看,没有帐号?立即注册

x
求助大佬!
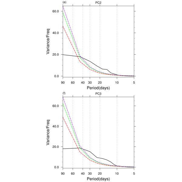
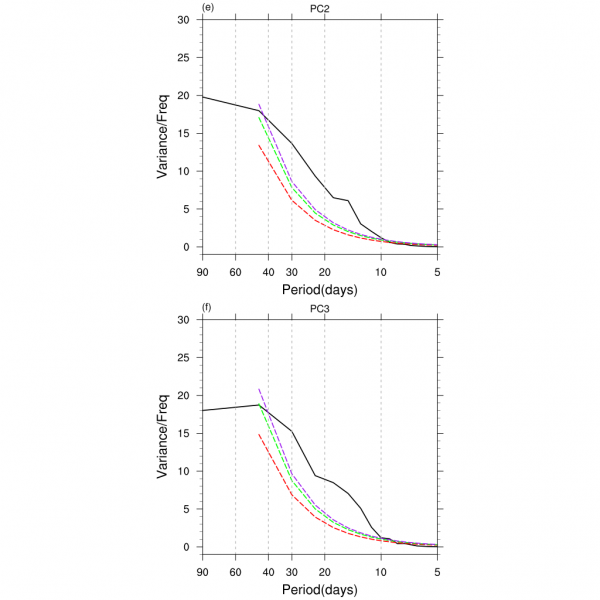
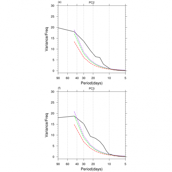
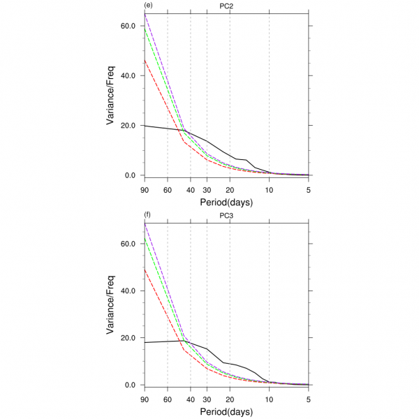
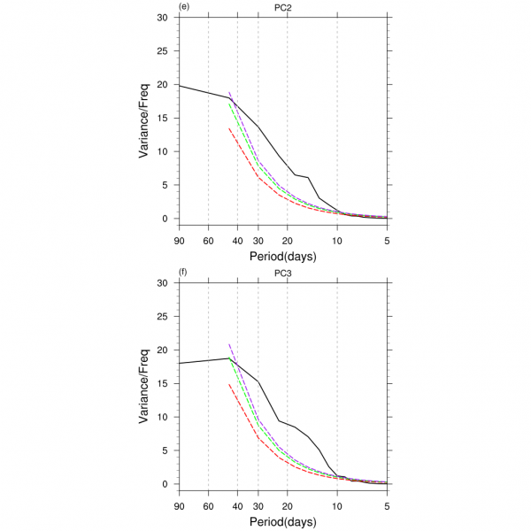
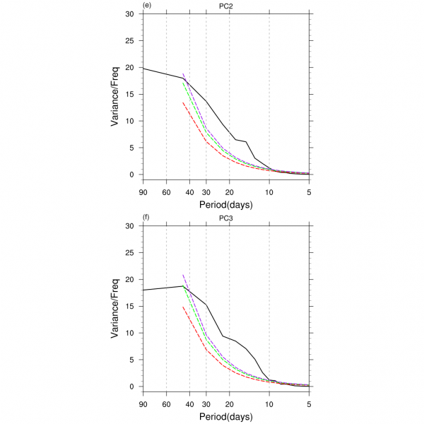
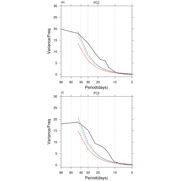
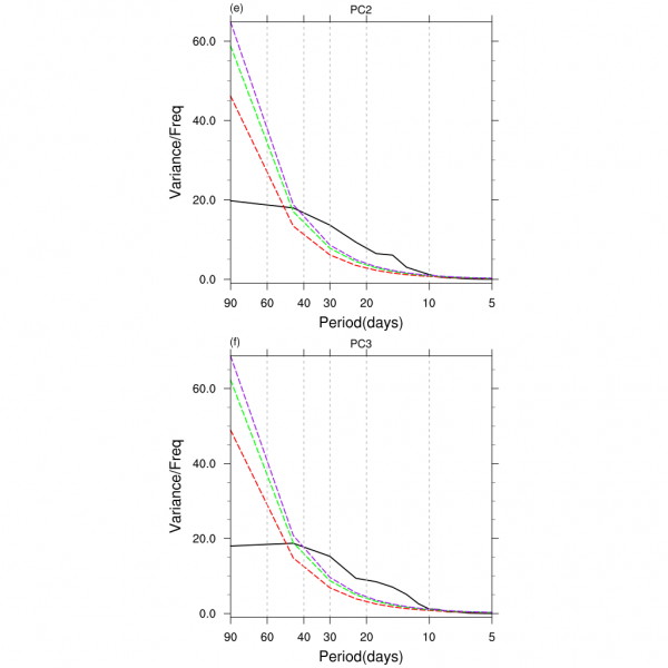
ncl画功率谱,怎么只画y<=30的图啊?
我加上 r@trYMaxF = 30 后,就成第二幅图了
1ef.png
1ef (1).png
密码修改失败请联系微信:mofangbao
发表于 2023-10-16 08:17:01 | 显示全部楼层
你把数据按X轴颠倒一下就行了
密码修改失败请联系微信:mofangbao
回复 支持 反对

使用道具 举报

发表于 2024-1-18 20:46:41 | 显示全部楼层
请问可以分享一下这个程序嘛,十分感谢!
密码修改失败请联系微信:mofangbao
回复 支持 反对

使用道具 举报

您需要登录后才可以回帖 登录 | 立即注册

本版积分规则

Copyright ©2011-2014 bbs.06climate.com All Rights Reserved.  Powered by Discuz! (京ICP-10201084)

本站信息均由会员发表,不代表气象家园立场,禁止在本站发表与国家法律相抵触言论

快速回复 返回顶部 返回列表