爱气象,爱气象家园! 

气象家园

 找回密码
 立即注册

QQ登录

只需一步,快速开始

搜索
查看: 1515|回复: 3

[作图] ncl绘制锋生函数部分项

[复制链接]
发表于 2024-6-23 11:08:33 | 显示全部楼层 |阅读模式

登录后查看更多精彩内容~

您需要 登录 才可以下载或查看,没有帐号?立即注册

x
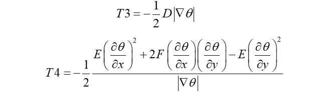
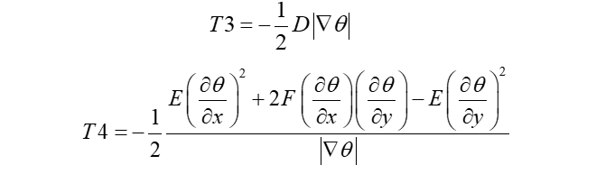
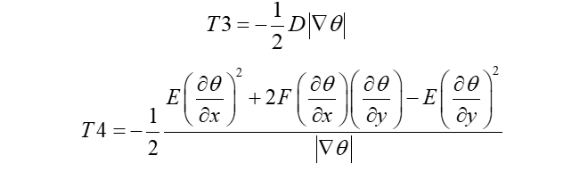
整理代码时候发现之前做的用Miller锋生公式对EC集合预报资料的锋生函数进行计算的相关文件,用ERA5资料把相应的语句调整后也可以生成相关文件附件里面是生成T3(散度项)和T4(变形项)以及F的nc文件的代码,后续绘图直接使用基本的绘图语句调整就可以,效果如图,量级10^-9




1.png
2.png

F_calculate(1).ncl

4.63 KB, 下载次数: 59, 下载积分: 金钱 -5

密码修改失败请联系微信:mofangbao
发表于 2024-6-26 09:30:20 | 显示全部楼层
感谢分享
密码修改失败请联系微信:mofangbao
回复

使用道具 举报

发表于 2025-3-10 15:10:34 | 显示全部楼层
大佬,Miller锋生公式和天气学原理上的锋生公式是一个吗?有没有相关文献?
密码修改失败请联系微信:mofangbao
回复 支持 反对

使用道具 举报

 楼主| 发表于 2025-3-11 10:13:29 | 显示全部楼层
youxia1873 发表于 2025-3-10 15:10
大佬,Miller锋生公式和天气学原理上的锋生公式是一个吗?有没有相关文献?

我不太记得书上的了  这篇文献也用到了锋生公式“Microphysical Characteristics of the Coexisting Frontal and Warm-Sector Heavy Rainfall in South China”
密码修改失败请联系微信:mofangbao
回复 支持 反对

使用道具 举报

您需要登录后才可以回帖 登录 | 立即注册

本版积分规则

Copyright ©2011-2014 bbs.06climate.com All Rights Reserved.  Powered by Discuz! (京ICP-10201084)

本站信息均由会员发表,不代表气象家园立场,禁止在本站发表与国家法律相抵触言论

快速回复 返回顶部 返回列表