爱气象,爱气象家园! 

气象家园

 找回密码
 立即注册

QQ登录

只需一步,快速开始

搜索
查看: 13339|回复: 4

ncl计算整层水汽通量单位

[复制链接]
发表于 2020-12-10 17:37:45 | 显示全部楼层 |阅读模式

登录后查看更多精彩内容~

您需要 登录 才可以下载或查看,没有帐号?立即注册

x
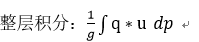
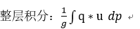
单层:q*u/g
整层积分:

各部分单位:
  
g
  
m/s2
v
m/s
q
g/kg
P(hpa)
103g/(cm*s2)
P(pa)
kg/(m*s2)
注:1N=1kg·m/s^2
1Pa=1N/(m**2)=1kg*m/(s**2)/(m**2)=1kg/(m*s**2)
推到过程:

在使用vibeta函数时,不用海平面气压,因为有青藏高原,青藏高原海平面气压值很低,会导致青藏高原上的气压层少于3层,而vibeta函数(vibeta采用的是中点公式,需要3个点进行积分),即需要至少3层才能积分,故使用psfc=1000代替海平面气压。
若遇到这样的问题,即是青藏高原造成的。

vibeta: ier = -999或者:出现警告:there must be at least three levels with data above the surface.


整层积分公式

整层积分公式

整层水汽通量单位推导

整层水汽通量单位推导

水汽通量单位.docx

144.86 KB, 下载次数: 80, 下载积分: 金钱 -5

密码修改失败请联系微信:mofangbao
发表于 2020-12-10 21:26:58 | 显示全部楼层
感觉都是用vibeta做的,没有用dp算的吗
密码修改失败请联系微信:mofangbao
回复 支持 反对

使用道具 举报

发表于 2021-2-6 18:53:42 | 显示全部楼层
请问vinta乘0.1之后,水汽通量的散度求出来的数值要乘多少呢
密码修改失败请联系微信:mofangbao
回复 支持 反对

使用道具 举报

发表于 2021-11-11 15:25:51 | 显示全部楼层
想问一下你的ps的单位是什么呢
密码修改失败请联系微信:mofangbao
回复 支持 反对

使用道具 举报

发表于 2021-11-29 20:10:46 | 显示全部楼层
请问ps用的是地表气压还是海平面气压呢
密码修改失败请联系微信:mofangbao
回复 支持 反对

使用道具 举报

您需要登录后才可以回帖 登录 | 立即注册

本版积分规则

Copyright ©2011-2014 bbs.06climate.com All Rights Reserved.  Powered by Discuz! (京ICP-10201084)

本站信息均由会员发表,不代表气象家园立场,禁止在本站发表与国家法律相抵触言论

快速回复 返回顶部 返回列表