爱气象,爱气象家园! 

气象家园

 找回密码
 立即注册

QQ登录

只需一步,快速开始

搜索
查看: 5179|回复: 8

2021大气所气象学基础真题

[复制链接]
发表于 2020-12-27 19:48:29 | 显示全部楼层 |阅读模式

登录后查看更多精彩内容~

您需要 登录 才可以下载或查看,没有帐号?立即注册

x
名词解释(每个3分,共30分)
对称不稳定
大气温室效应
急流
热成风
飑线
副热带高压
气候变化
理查森数(Ri)
还有两个我是在想不起来。。
论述题(每个10分,共50分)
1 我国冷空气的原地及路径。
2 季风的形成原因
3 霜冻的形成原因
4 暴雨中尺度系统的触发机制
5 简述混合长理论的假设还有??
6  运用位涡守恒原理解释背风坡为什么会形成槽?
7  大气低频振荡的空间分布和时间分布?
8 什么是寒潮?我国各种类型的寒潮有什么异同点?冬季影响我国天气的主要天气系统是什么?它有哪些形成过程。
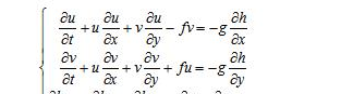
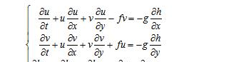
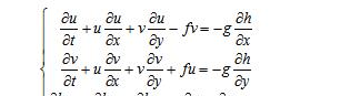
证明题:

                               
登录/注册后可看大图

题目给的是这个浅水方程组,但是第三个方程是写成了偏(hu)偏X的那种形式。
然后假设v=v',u=u',h=H0+h',H0是常数。
然后需要推导纬向的重力惯性外波的频率方程,相速,群速度。
微信截图_20201227193032.png
密码修改失败请联系微信:mofangbao
发表于 2020-12-29 22:34:27 | 显示全部楼层
老铁数学难度怎么样,专业课有几个题还挺难呀
密码修改失败请联系微信:mofangbao
回复 支持 反对

使用道具 举报

发表于 2020-12-30 15:25:28 | 显示全部楼层
简述混合长理论的基本思想及假设;好像还有一个是寒潮系统的发展形成过程🤔?
密码修改失败请联系微信:mofangbao
回复 支持 反对

使用道具 举报

发表于 2020-12-30 15:27:49 | 显示全部楼层
频散波和台风
密码修改失败请联系微信:mofangbao
回复 支持 反对

使用道具 举报

发表于 2020-12-30 16:03:25 | 显示全部楼层
感谢楼主!!请问数学难度如何
密码修改失败请联系微信:mofangbao
回复 支持 反对

使用道具 举报

发表于 2021-1-3 21:27:37 | 显示全部楼层
小小犀牛 发表于 2020-12-29 22:34
老铁数学难度怎么样,专业课有几个题还挺难呀

数学大题总体上比去年难一点点我觉得
密码修改失败请联系微信:mofangbao
回复 支持 反对

使用道具 举报

 楼主| 发表于 2021-3-11 19:30:07 | 显示全部楼层
少年易 发表于 2020-12-30 16:03
感谢楼主!!请问数学难度如何

数学我觉得还行,我考出来120。。。就是被专业课坑了。。。
密码修改失败请联系微信:mofangbao
回复 支持 反对

使用道具 举报

发表于 2021-3-12 19:17:11 | 显示全部楼层
本帖最后由 一夜荒原 于 2021-3-12 19:19 编辑
蓬蒿人 发表于 2021-3-11 19:30
数学我觉得还行,我考出来120。。。就是被专业课坑了。。。

专业课我连100都没过  才93
密码修改失败请联系微信:mofangbao
回复 支持 反对

使用道具 举报

发表于 2022-7-17 19:50:56 | 显示全部楼层
感谢楼主!
密码修改失败请联系微信:mofangbao
回复

使用道具 举报

您需要登录后才可以回帖 登录 | 立即注册

本版积分规则

Copyright ©2011-2014 bbs.06climate.com All Rights Reserved.  Powered by Discuz! (京ICP-10201084)

本站信息均由会员发表,不代表气象家园立场,禁止在本站发表与国家法律相抵触言论

快速回复 返回顶部 返回列表