爱气象,爱气象家园! 

气象家园

 找回密码
 立即注册

QQ登录

只需一步,快速开始

搜索
查看: 1235|回复: 0

WRF理想模型bubble600K不能算

[复制链接]
发表于 2023-5-8 10:34:25 | 显示全部楼层 |阅读模式
1金钱
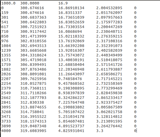
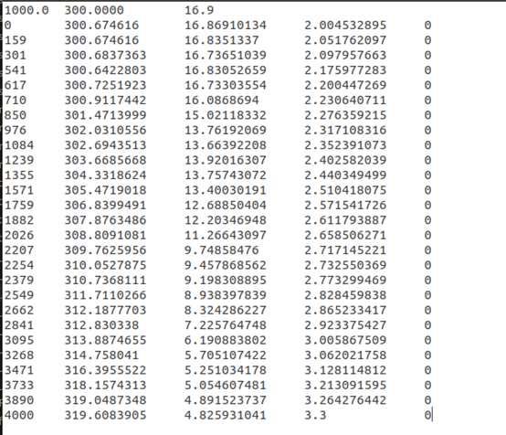
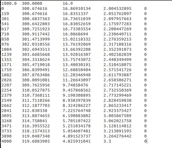
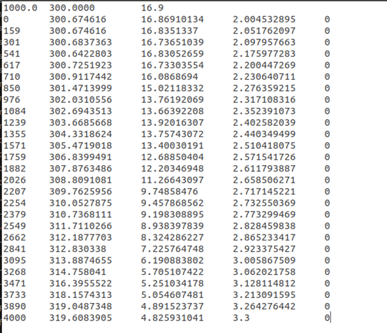
初学WRF,修改em_quarter_ss case,将bubble设置为600K,运行几s之后,输出变成了NAN。100K倒是可以。

inputsounding.png
bubble.png
密码修改失败请联系微信:mofangbao
您需要登录后才可以回帖 登录 | 立即注册

本版积分规则

Copyright ©2011-2014 bbs.06climate.com All Rights Reserved.  Powered by Discuz! (京ICP-10201084)

本站信息均由会员发表,不代表气象家园立场,禁止在本站发表与国家法律相抵触言论

快速回复 返回顶部 返回列表