爱气象,爱气象家园! 

气象家园

 找回密码
 立即注册

QQ登录

只需一步,快速开始

搜索
查看: 12301|回复: 3

[源程序] 发一个Pettitt的程序

[复制链接]
发表于 2021-8-24 18:15:16 | 显示全部楼层 |阅读模式

登录后查看更多精彩内容~

您需要 登录 才可以下载或查看,没有帐号?立即注册

x

load('数据');
y=数据;
year=year;
N=length(y);
n=length(y);
% 正序列计算,定义累计量序列Sk,长度=y,初始值=0
Sk=zeros(n,1);
for i=2:n
   for j=1:n
         if y(i)>y(j) %能否取到等于号看到了好几种说法
           Sk(i)=Sk(i)+1;
         elseif y(i)==y(j)
               Sk(i)=Sk(i);
         else
           Sk(i)=Sk(i)-1;
         end;
   end;
end;
%输出Max的最大值及最大值所在的位置。
m=max(abs(Sk(2:n)));
p=find(abs(Sk)==m);
P_t=2*exp(-6*(m^2)*(n^3+n^2));
year_need=zeros(length(p),1);
% 获取一个和p一样的长度数列
if P_t<=0.5
    year_need=year(p);
else
    print('该序列趋势不显著');
end
%在图片上绘制出最大的m;
cankaoxian=zeros(n,1);
cankaoxian(:)=m;
plot(year,Sk,'k-','linewidth',2);
hold on;
plot(year,cankaoxian,'b--','linewidth',2);
plot(year,-cankaoxian,'b--','linewidth',2);
plot([year_need(1),year_need(1)],[-cankaoxian,cankaoxian],'r--','linewidth',1);
plot([year_need(2),year_need(2)],[-cankaoxian,cankaoxian],'r--','linewidth',1);
set(gca,'xlim',[1982 2015]);


跟一些程序相比,这个帖子强调的点就这一行代码:   for j=1:n
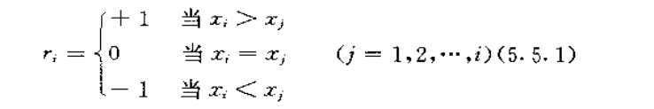
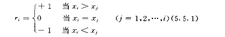
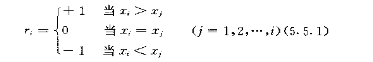
魏奉英老师的书上的内容如图所示。
但是按这张图写的程序算出来的突变点和MK检验的结果相差甚远,突变点显示在08年和13年。
MK检验代码移步:http://bbs.06climate.com/forum.p ... ight=MK%BC%EC%D1%E9,我也是参考这个画的。


这个用MK检验画出来的(因为是师兄论文要用到的图,所以我抹去了一些细节,就剩下交点,可以看到大概是在97年附近):
改成for j=1:n以后就顺眼多了,突变点在97年。













魏凤英老师书上的编程

魏凤英老师书上的编程

MK检验结果

MK检验结果

按照魏奉英老师的书写的编程算出来的结果

按照魏奉英老师的书写的编程算出来的结果

改完循环之后的结果

改完循环之后的结果
密码修改失败请联系微信:mofangbao
 楼主| 发表于 2021-8-24 18:20:05 | 显示全部楼层
我天,语文学得不好的我,发完才发现都是病句。。。反正意思就这个意思了。。。
密码修改失败请联系微信:mofangbao
回复 支持 反对

使用道具 举报

发表于 2023-10-22 11:47:19 | 显示全部楼层
Pettitt 。。。。。是啥来着?
密码修改失败请联系微信:mofangbao
回复 支持 反对

使用道具 举报

 楼主| 发表于 2023-10-28 16:37:22 | 显示全部楼层
puck66 发表于 2023-10-22 11:47
Pettitt 。。。。。是啥来着?

突变点检验呢。
密码修改失败请联系微信:mofangbao
回复 支持 反对

使用道具 举报

您需要登录后才可以回帖 登录 | 立即注册

本版积分规则

Copyright ©2011-2014 bbs.06climate.com All Rights Reserved.  Powered by Discuz! (京ICP-10201084)

本站信息均由会员发表,不代表气象家园立场,禁止在本站发表与国家法律相抵触言论

快速回复 返回顶部 返回列表